熱線:021-66110810,66110819
手機:13564362870

熱線:021-66110810,66110819
手機:13564362870
研究簡介:從加拿大艾伯塔省北部阿薩巴斯卡油砂中提取瀝青以生產石油,已經產生了大量稱為流體細尾礦(FFT)的廢物,其中包括水,溶解鹽,沙子,粘土,殘余瀝青和石腦油的混合物。先前的研究表明,伽馬輻射可以有效降解難降解的有機化合物,例如環己烷丁酸、四氯乙烷、三氯乙烷、多氯聯苯和三硝基甲苯。迄今為止,還沒有關于伽馬輻射(GI)對生物地球化學功能的影響以及與OSPW相關的毒性對治療的影響的研究,特別是伽馬輻射(GI)在氧化還原梯度內進行GI處理后NAs的生物轉化潛力以及由此產生的溶解物質通量的研究。
這項研究系統地研究了在缺氧和有氧條件下,通過實驗室孵化新鮮和老化尾礦,地理標志對生物地球化學發展和逐步降低毒性的影響。OSPW,即有機溶劑中的水溶液體系,因其獨特的化學性質和環境適應性,在多個科學和工業領域扮演著重要角色。而NA作為水溶液中最常見的陽離子之一,其濃度的變化對于OSPW的性質和應用具有重要影響。
伽馬輻射(GI)降低了OSPW中的NA濃度,在油砂工藝水中降低了97%,在細尾礦中降低了85%。該研究很好的評估新鮮和老化來源對OSPW和FFT輻射的生物學和理化反應;確定GI治療在降低NA濃度方面的功效,以及評估GI治療和未治療的OSPW對費氏弧菌的毒性。
微電極的應用:從Rhizon采樣器從采樣點采集三個沉積物巖心(三倍測量),水平插入深度小于SWI的10毫米。預先通過0.45μm硝酸纖維素膜過濾湖水。將裝有Rhizon的沉積物巖心在25°C的水中浸泡2天。然后將核心在25°C下孵育24小時(對照處理)。然后在水中先充入O 2 176 h,然后充入N 2 376 h,以產生好氧和厭氧條件。大約1毫升的上覆水和孔隙水在對照,有氧和厭氧孵育過程中,每隔4小時收集一次。通過使用氧化還原微電極(Unisense,丹麥)測量三個溫育期中沉積物剖面中Eh的垂直變化。
圖1、伽馬輻射處理油砂工藝用水的示意圖。
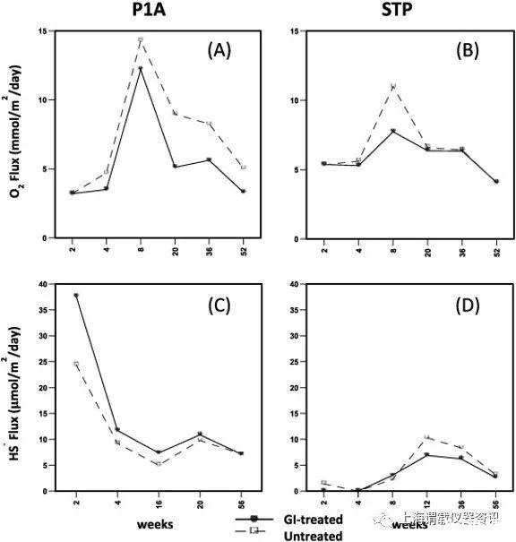
圖2、(A)微觀老化物質沉積物/水界面的含氧通量和HS?輸沙通量-時間序列(B)富氧微體中新鮮物質的沉積物/水界面氧通量;(C)老化物質沉積物/水界面的HS?通量;(D)老化物質的沉積物/水界面的HS?通量,在缺氧的微觀界面的水中或FFT中沒有檢測到溶解氧。在含氧微環境中未檢測到HS?。
圖3、第2周(左)、第8周(中)和第52周(右)在缺氧老化、未處理的微環境中硫化沉淀的形成情況。
圖4、第2周(左)、第8周(中)和第52周(右)缺氧老化的GI處理的微觀世界中硫化物沉淀的形成情況。
小結:伽馬輻射降低OSPW中NA濃度的研究,不僅為我們揭示了伽馬輻射在化學和物理學領域的獨特作用,還為OSPW的應用提供了新的思路和方法。例如,在能源、環保、醫藥等領域,OSPW作為一種重要的介質和載體,其性質的改變將直接影響這些領域的發展和進步。
相關新聞