熱線:021-66110810,66110819
手機:13564362870

熱線:021-66110810,66110819
手機:13564362870
研究簡介:本研究對廢水生物脫氮過程中強溫室氣體N?O的排放機制差異進行了研究。N?O是一種重要的溫室氣體,其全球變暖效應在100年尺度上是CO?的265倍、CH?的9.5倍,還可能破壞臭氧層、引發酸雨。廢物處理(包括垃圾填埋和污水處理)是N?O的重要人為排放源,且排放量逐漸增加,污水處理中的N?O主要來自生物脫氮過程。N?O的全球增溫潛勢是CO?的265倍,且會破壞臭氧層,而污水處理廠是其重要人為來源。以往研究多直接以活性污泥混合物為對象測定N?O排放速率,忽略了微生物內源反硝化對N?O的消耗,可能高估實際排放量。為厘清物理傳質與生化反應的相對貢獻,研究人員通過設計平行批式實驗,以蒸餾水與活性污泥混合物為對照,并利用Unisense氧化亞氮微電極在線監測六組不同初始N?O濃度下溶解N?O的動態變化,并通過指數擬合求得總容積傳質系數KLa。結果顯示:蒸餾水中KLa穩定于0.01 min?1,排放過程僅受物理傳質控制;活性污泥中KLa隨初始N?O濃度升高由0.008增至0.014 min?1,表明微生物利用胞內儲存物進行內源反硝化,額外消耗N?O。高濃度區(>15 mg N/L)兩者排放速率差值恒定為0.53 mg N L?1min?1,可直接量化為污泥的N?O還原速率。研究建議,在后續建立N?O排放模型或核算污水廠溫室氣體清單時,應優先采用蒸餾水體系測定KLa,以排除生化反應的干擾,從而提高計算精度。
Unisense氧化亞氮微電極系統的應用
Unisense微電極用于監測液體中溶解態氧化亞氮N?O的濃度。實驗在六個相同的500mL未密封燒杯中進行,分為兩組,組I加入400mL蒸餾水,組II加入取自西安某城市污水處理廠并經培養的400mL活性污泥混合物。向兩組燒杯中分別注入不同體積的壓縮N?O氣體,使N?O充分溶解在溶液中。使用Unisense微電極對液體中溶解態N?O濃度進行在線監測。該微電極的測量間隔為10s,測量范圍是0.1-500μM,測量誤差小于2%。測量時,微電極將檢測到的電壓通過標準曲線計算,從而獲得溶解態N?O的濃度。在固定攪拌速度、非曝氣且室溫(16.2-18.2°C)的條件下,讓溶解態N?O從燒杯中不斷逸出。通過計算機記錄在線探針測量的N?O濃度每秒的下降值,直至反應器中溶解態N?O濃度下降接近零或不再變化。所得曲線代表N?O濃度隨時間的變化,將該曲線與相關指數函數進行擬合,進而得到N?O的總容積傳質系數,用于后續計算N?O排放速率等參數。
實驗結果
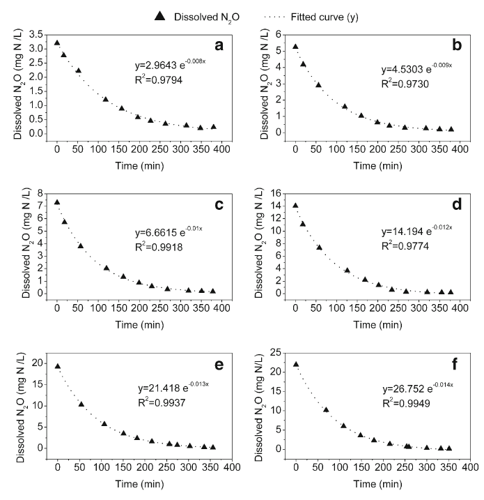
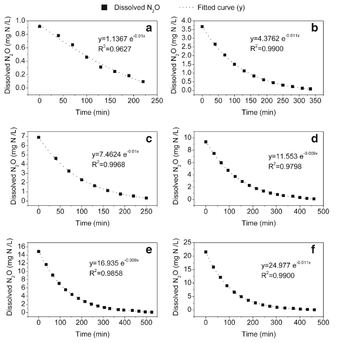
結果表明,蒸餾水中N?O的總容積傳質系數相對穩定,約為0.01/min,不受初始N?O濃度的影響。這表明在蒸餾水中,N2O的排放速率僅與實時溶解態N?O濃度相關。相比之下,活性污泥混合物中N?O的總容積傳質系數隨初始N2O濃度的增加而增大,范圍為0.008–0.014/min。這一現象歸因于活性污泥中微生物的內源反硝化作用,即微生物利用胞內儲存的聚合物作為電子供體,將N2O還原為N2,從而加速了N?O的消耗。當初始N?O濃度高于15 mg N/L時,活性污泥混合物與蒸餾水之間的N?O排放速率差異趨于穩定,約為0.53 mg N/L·min,這可視為微生物內源反硝化的反應速率。由于活性污泥混合物中的N?O排放過程受到微生物生化反應的顯著影響,其總容積傳質系數不能真實反映N2O的傳質過程,因此不適用于計算N?O的排放速率和總量。相反,蒸餾水體系中的N?O排放特性更為穩定,建議在開放系統中使用蒸餾水來測定N?O的總容積傳質系數,以提高對污水處理過程中N2O排放機制的理解和估算精度。
圖1、反應裝置示意圖。圖中展示了實驗所用的六聯攪拌器(JJ-4A)和六個相同的敞口燒杯(500 mL),用于進行N2O排放實驗。燒杯中分別加入蒸餾水或活性污泥混合物,并注入不同體積的壓縮N2O氣體,通過攪拌使N2O充分溶解并持續逸出。
圖2、不同初始N?O濃度下蒸餾水中N2O的總容積傳質系數。六個燒杯(1#至6#)在不同初始N2O濃度下,蒸餾水中N2O的總容積傳質系數(KLa)。結果顯示,KLa在不同初始濃度下相對穩定,約為0.01/min。
圖3、不同初始N?O濃度下蒸餾水中的N2O排放持續時間。從圖中可以看出,不同初始N2O濃度下,蒸餾水中N2O排放至濃度降至0.1 mg N/L所需的時間。結果顯示,隨著初始N2O濃度的增加,排放持續時間先增加后減少。
圖4、不同初始N?O濃度下活性污泥混合物中N2O的總容積傳質系數。從圖中可以獲得六個燒杯(1#至6#)在不同初始N2O濃度下,活性污泥混合物中N2O的總容積傳質系數(KLa)。隨著初始N2O濃度的增加,KLa從0.008/min增加到0.014/min。
圖5、不同初始N?O濃度下活性污泥混合物中的N2O排放持續時間。圖中顯示了不同初始N?O濃度下,活性污泥混合物中N2O排放至濃度降至0.1 mg N/L所需的時間。結果顯示,隨著初始N?O濃度的增加,排放持續時間呈線性減少。
結論與展望
為了探究蒸餾水和活性污泥混合物中溶解態氧化亞氮(N?O)的排放特性,研究人員通過批量實驗測定了N2O在蒸餾水和活性污泥混合物中的總容積傳質系數。結果表明,N?O在蒸餾水和活性污泥混合物中的排放過程存在差異。在不同初始N2O濃度下,蒸餾水中N?O的總容積傳質系數相對穩定,而活性污泥混合物中N?O的總容積傳質系數則隨著初始N?O濃度的升高而增大,這是由于混合物中的微生物進行內源反硝化作用所致。Unisense微電極作為核心監測工具,為本研究提供了高頻率、高精度的溶解N2O濃度數據,是整個實驗計算KLa和N?O排放速率的關鍵數據來源。由于活性污泥中的異養細菌會對N?O進行還原和消耗,因此N?O從混合物向大氣中逸出的傳質過程涉及生化反應。因此在計算生物脫氮過程中N?O排放速率的實驗中,建議采用蒸餾水來測定總容積傳質系數。