熱線:021-66110810,66110819
手機:13564362870

熱線:021-66110810,66110819
手機:13564362870
電位微電極是一種用于測量溶液中離子活度或濃度的電化學傳感器,其核心原理基于能斯特方程和膜電位理論。這類電極具有高靈敏度、快速響應和選擇性好的特點,在生物醫學、環境監測和工業過程控制等領域發揮著重要作用。以下從類型、測量原理、使用方法和應用領域四個方面進行系統闡述。
一、測量原理
電位微電極的工作原理建立在電化學平衡理論基礎上,主要涉及以下三個關鍵機制:
1.膜電位理論
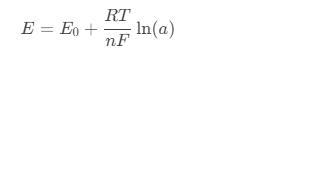
當電極的敏感膜與待測溶液接觸時,膜內外離子活度差異會導致電荷分離,形成雙電層。這種界面電位差遵循能斯特方程:
其中E為測量電位,E0為標準電極電位,R為氣體常數,T為絕對溫度,n為離子價態,F為法拉第常數,a為離子活度。對于H+離子測量的pH電極,斜率在25℃時為59.16 mV/pH。
2.選擇性響應機制
電極敏感膜中的離子載體(如纈氨霉素用于K+測量)與特定離子形成配位化合物,通過改變膜相介電常數產生選擇性響應。例如鈣離子微電極使用ETH1001作為中性載體,對Ca2+的選擇性系數可達10^6以上。
3.參比電極系統
完整的測量需要構成閉合回路,通常采用Ag/AgCl或飽和甘汞電極作為參比電極?,F代微電極常采用液態接界結構,通過陶瓷或多孔聚合物膜形成穩定的液接電位。
二、主要類型
(1)離子選擇性微電極(ISE,IonSelective Electrode)
敏感膜:電極尖端涂覆離子選擇性材料(如玻璃膜、液態離子交換劑、固態晶體膜),僅對特定離子(如H?、K?、Ca2?、Cl?)響應。
示例:
pH微電極:玻璃膜敏感于H?。
鈣離子微電極:使用ETH1001等中性載體。
(2)金屬微電極
材料:鉑、銀等惰性金屬,表面經修飾(如鍍Ag/AgCl)用于檢測氧化還原電對(如O?、H?O?)。
示例:Clark氧電極(測量溶解氧)。
(3)場效應晶體管微電極(ISFET)
結合半導體技術,將離子敏感膜集成在場效應晶體管上,實現微型化、高靈敏度。
三、使用方法
正確使用電位微電極需要嚴格的操作流程和質量控制,主要步驟包括:
1.電極預處理
新電極需在對應離子溶液中活化24小時(如pH電極在pH4緩沖液中)
微電極使用前需檢查敏感膜是否完整,避免出現氣泡或污染
參比電極需確保內充液濃度穩定(如3M KCl溶液)
2.校準程序
采用兩點或三點校準法:
對pH電極使用pH4.01/pH7.01/pH9.21標準緩沖液
離子選擇性電極需配制系列濃度標準液(如10^4至10^1 mol/L)
記錄校準曲線斜率,正常范圍應為理論值的95105%
3.實際測量要點
保持溶液適度攪拌(200400 rpm)避免濃度極化
控制溫度波動在±0.5℃以內,或開啟自動溫度補償
對微升級樣品需采用防蒸發措施
測量順序應從低濃度到高濃度,避免記憶效應
4.維護與存儲
使用后立即用去離子水沖洗,避免膜表面結晶
長期存儲時pH電極應浸入保護液(如3M KCl)
離子電極干燥保存需加裝分子篩干燥帽
四、應用領域
電位微電極憑借其獨特優勢,已在多個領域實現重要應用:
1.生物醫學研究
細胞生理監測:采用尖端直徑<1μm的玻璃微電極,可測量單個細胞內pH(6.27.6)、Ca2+(10^710^3 M)等參數。例如在心肌細胞研究中,通過Ca2+微電極發現動作電位與鈣瞬變的耦合關系。
神經科學:結合膜片鉗技術,K+選擇性微電極證實突觸傳遞中細胞外鉀濃度可升高至10 mM。
臨床診斷:便攜式血氣分析儀整合pH/pCO2/pO2微電極,檢測時間<2分鐘,CV<1%。
2.環境監測
水質分析:NH4+微電極(檢測限0.03 mg/L)用于污水處理過程監控;Cd2+微電極(選擇性系數>1000)應用于重金屬污染現場檢測。
土壤檢測:固態NO3微電極可實現原位測量,避免傳統萃取法的離子干擾。
大氣監測:氣體擴散型微電極(如SO2傳感器)響應時間<30秒,適用于工業廢氣排放監測。
3.工業過程控制
食品工業中F微電極控制飲用水氟化處理(0.71.2 mg/L);
制藥行業采用pH微電極監控發酵過程,精度達±0.01 pH;
半導體行業超純水監測需特殊設計的低阻抗微電極,電阻<100 MΩ。
4.新興應用方向
微流控芯片:集成化微電極陣列可實現多參數同步檢測,如同時測量pH、葡萄糖和乳酸;
可穿戴設備:柔性微電極貼片可連續監測汗液Na+濃度(誤差<5%);
空間探測:NASA火星探測器搭載改良型pH微電極,工作溫度范圍20至50℃。
五、技術挑戰與發展趨勢
電位微電極與電流型電極對比:電位微電極測量電位差而非電流,無需外部電壓驅動。與宏電極對比:微電極尺寸更小,適合微區檢測,空間分辨率高。
當前電位微電極仍面臨一些技術瓶頸:微型化導致阻抗升高(可達10^9Ω)、長期穩定性不足(漂移>2 mV/天)、抗干擾能力待提升等。新型材料如石墨烯修飾電極可將響應時間縮短至0.1秒;3D打印技術制備的微流道電極壽命延長至6個月;人工智能輔助的智能電極可實現自校準功能。未來隨著MEMS技術和納米材料的進步,電位微電極將向更高靈敏度、更低檢測限和更強環境適應性方向發展,在單細胞分析、活體監測等前沿領域展現更大潛力。
總結
電位微電極是電化學分析中的重要工具,尤其在需要高時空分辨率的場景(如生物活體檢測)中不可替代。通過選擇不同的敏感膜,可實現對多種目標物質的精準測量。