熱線:021-66110810,66110819
手機:13564362870

熱線:021-66110810,66110819
手機:13564362870
2.2層流
由于氣泡生長過程中電解液流速較慢,采用層流物理場進行計算。通過不可壓縮流體的Navier-Stokes方程求流場分布,,(6),(7)
其中,ρ是密度,p是壓力,μ是粘度,g是重力加速度。方程的左邊是流體元素的動量變化率,第一個隨時間變化的速度項,第二個對流項。方程的右邊是各種力對流體單元的作用,包括壓力項、粘度控制的速度擴散項和體力項。
在求解區域頂部S1設置為壓力出口,在氣泡界面S2設置為滑移邊界,其他區域均設置為無滑移壁面。在氣泡生長過程中,界面追蹤采用了動網格的方式。對通過氣泡界面的溶解氧的通量積分,計算在每個時間步上界面的生長率和位移,并將其應用于網格的運動。根據理想氣體定律可得氣泡的生長速度,其中,Rg是理想氣體常數,p0是氣體內部壓力,T是溫度,R是氣泡半徑。然而,氣泡底部附著于光電極表面。氣泡的界面的更新不僅有徑向的生長。氣泡界面的生長可以分解為氣泡徑向的生長和沿著z方向的上升,如圖2所示。在一個時間步內,氣泡界面網格的位移在r和z方向的分量分別為,
其中,θ依據comsol中的幾何坐標系和atan2函數得到,進入氣泡內的溶解氧的通量通過檢測邊界探針獲取。通過檢測氣泡頂部的點探針計算得到氣泡的半徑。
圖2氣泡界面更新的示意圖
表2給出了模擬用到的參數。在計算中,氣泡半徑從15μm增加到約350μm。氣泡半徑增大了約22倍,網格的移動會增加網格的偏斜度,因此在模擬中設置了自動重新劃分網格。監測了網格的質量,一旦網格質量低于0.2,則啟動重新劃分網格程序?;赾omsol物理場控制進行網格的自動劃分,分為細化、較細化、超細化、極細化四組網格。四組網格的網格數量如表3所示。氣泡內的網格最大尺寸設置為1μm。氣泡和電極表面的網格的最大尺寸也設置為1μm。最大單元增長率設置為1.01。采用四組網格計算得到的出口處的流速的r方向分量如圖3所示,細化和較細化均有明顯的誤差,而超細化和極細化的差距不大。因此,綜合考慮計算時間和數據的準確性,采用超細化的網格進行計算。
表2模擬參數
表3網格數量
圖3四組網格計算得到的出口處的流速的r方向分量
3結果與討論
3.1反應區域大小影響氣泡生長
在(光)電化學水分解中,已有大量的研究表明,在微電極上的氣泡生長可以分為兩個主階段,分別是慣性控制階段和化學反應控制階段。Cao等人在此基礎上補充了由擴散控制向化學反應控制的過渡階段,這一階段處于慣性控制階段與化學反應控制階段之間。氣泡的生長直徑與時間之間的關系為db=βtα
其中α是時間系數,β是生長系數)。不同階段的區分主要取決于時間系數。慣性控制階段大約持續100 ms。慣性控制階段的氣泡生長直徑由以下公式控制,,(11)
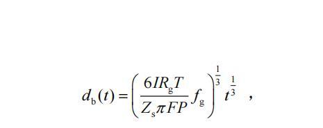
其中,db是氣泡的直徑,ρl是電解液密度,ΔPb表示氣泡內部和外部之間的壓力差抵消表面張力后的殘余壓力?;瘜W反應控制階段占據了氣泡生長過程的絕大部分,這一階段氣泡生長直徑表達為,,(12)
其中,I表示電流,Zs是化學計量數,Rg是通用氣體常數,F是法拉第常數,P表示壓力,fg代表氣體逸出效率,fg=1-(1-?)2.5,?是氣泡覆蓋率。
在氣泡開始生長前,進行了1.2×10-5s的模擬。模擬中只啟用稀物質傳遞和層流,用以構建電解液中氣泡生長至30μm時的濃度場。當電流為0.06 mA時,反應區域的直徑為0.1 mm的微電極表面生長的氣泡的直徑和快照如圖4所示。氣泡生長直徑與時間的擬合關系式為db=225t1/3。由氣泡邊界的溶解氧通量計算得到氣泡直徑與氣泡在化學反應控制階段的生長關系吻合較好。這也表明了模擬的可靠性。
由于模擬中氣泡是從直徑為30μm開始生長,不是由溶解氧分子聚集成核,以及氣泡在慣性控制階段的生長與電解液中的濃度分布關系較大,因此,氣泡在慣性階段的生長與公式(11)有一定的偏差。但氣泡慣性階段的生長時間非常短,對氣泡的生長直徑的影響并不顯著。
圖4模擬得到的氣泡生長直徑
設置不同的反應區域,得到的氣泡直徑的曲線如圖5所示。較小的反應區域引起了更大的氣泡直徑。當反應區域直徑超過0.4 mm時,生長了30 s的氣泡直徑近似隨著反應區域增加近似線性減小。在氣泡生長早期,反應區域越小,氣泡生長速率越快。另外,相比于反應區域的直徑為0.1 mm,0.4 mm時的氣泡直徑一開始雖然明顯小于0.1 mm的情況,但在30 s時氣泡生長直徑已經與反應區域直徑為0.1 mm的情況接近。盡管反應區域直徑為0.1 mm和直徑為0.2 mm的電極反應面積相差4倍,但氣泡生長曲線差別非常小。在我們先前針對激光光斑尺寸的研究中,光斑尺寸相差68%,氣泡生長曲線的差異也不大。這是因為氣泡能夠迅速生長,進而超出電極表面的反應區域。
圖5不同反應區域時氣泡的生長直徑,(a)氣泡的直徑隨時間的變化,(b)30s時的直徑由于氣泡的直徑與生長時間滿足冪律關系,因此,時間系數可以通過以下微分求得,圖6給出了由公式(13)給出的不同反應區域下生長的氣泡的時間系數。通過前面的分析可知,在氣泡生長的慣性控制階段,時間系數為0.66~1.00。然而對于慣性控制階段的直徑變化,模擬呈現的并不準確。但由于這一階段氣泡的生長時間不超過0.1 s,對于氣泡后續的生長影響并不大。時間系數從0.56降低到0.33的時間段是由擴散控制向化學反應控制過渡階段。
這一階段氣泡的生長受限于電極液中過飽和的溶解氧。時間系數為0.33時,氣泡生長受到化學反應控制。隨著反應區域增大,時間系數的尖峰逐漸變大,由擴散控制向化學反應控制階段過渡的時間也變長。反應區域越大,從電極擴散進入電解液本體的溶解氧越多。在氣泡生長時,過飽和的溶解氧又從電解液本體進入氣泡,從而導致時間系數更大。這與大尺寸電極中氣泡生長主要受擴散控制的現象一致。
相關新聞