熱線:021-66110810,66110819
手機:13564362870

熱線:021-66110810,66110819
手機:13564362870
Surviving salt fluctuations: stress and recovery in Halobacterium salinarum, an extreme halophilic Archaeon
鹽度波動下的生存:極端嗜鹽古菌鹽桿菌的壓力與恢復
來源:Scientific Reports, (2020) 10:3298
《科學報告》,2020年 第10卷第3298期
摘要內容
該研究探討了極端嗜鹽古菌Halobacterium salinarum在低鹽環境下的應激與恢復機制。嗜鹽蛋白在體外低于15%鹽濃度時會因錯誤折疊、聚集或沉淀而變性,但Halobacterium salinarum卻在鹽度波動的自然環境中(如沿海鹽田甚至死海深處的淡水泉附近)被檢測到。研究通過評估低鹽培養基中孵育并恢復至高鹽生理條件下的亞群復活能力,結合呼吸耗氧量、活死染色與流式細胞術檢測細胞存活率,以及體內中子散射實驗,發現暴露于嚴重低鹽條件的細胞亞群能夠快速恢復其蛋白質組的功能性分子動力學,這對其在鹽度波動環境中的生態分布具有關鍵意義。
研究目的
探究Halobacterium salinarum在低鹽壓力下的生存機制及其恢復能力,揭示其如何在鹽度波動環境中存活和傳播。
研究思路
將Halobacterium salinarum置于不同低鹽條件(2.5 M至0.5 M NaCl)下處理不同時間(1小時、24小時、7天),然后轉移回生理鹽濃度(4.2 M NaCl)進行恢復;通過測量細胞生長、膜完整性(流式細胞術)、呼吸活性(氧消耗)、細胞形態(顯微鏡觀察)和蛋白質組分子動力學(中子散射),綜合分析其應激響應和恢復過程。
測量的數據:
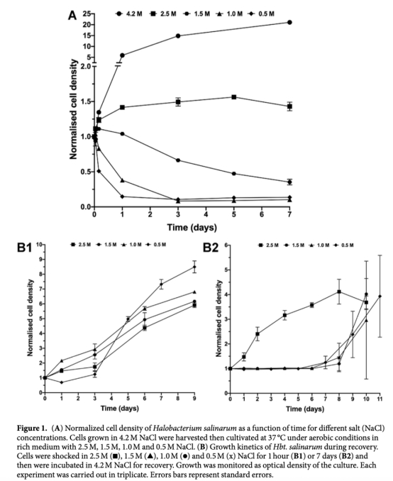
1 細胞生長曲線(圖1)

2 細胞膜完整性和DNA完整性(流式細胞術,圖2和圖3)


3 細胞形態變化(時間推移顯微鏡,圖4)

4 呼吸活性(氧消耗測量,圖5)

5 蛋白質組分子動力學參數(中子散射,圖6和圖7)


測量數據的研究意義
1 細胞生長曲線顯示低鹽條件下細胞生長受抑制但部分群體可恢復,說明存在耐低鹽亞群(圖1)。
2 流式細胞術數據揭示細胞膜和DNA損傷程度隨鹽度降低和時間延長而增加,但部分細胞保持完整性,表明其具有恢復潛力(圖2和圖3)。
3 顯微鏡觀察顯示細胞從圓形逐漸恢復為典型桿狀形態并分裂,證實形態和分裂能力的恢復(圖4)。
4 呼吸活性測量表明低鹽下呼吸速率下降但恢復后迅速上升,反映能量代謝的快速恢復(圖5)。
5 中子散射數據表明低鹽導致蛋白質組分子動力學擾動(軟化),但恢復后力常數迅速回歸正常,證明功能性分子動力學的可逆恢復(圖6和圖7)。
詳細解讀使用丹麥unisense電極測量出來的數據的研究意義:
使用丹麥Unisense微氧電極測量的呼吸活性數據(圖5)直接反映了細胞能量代謝狀態。數據顯示,低鹽條件下呼吸速率顯著下降(尤其是低于1.5 M NaCl及長時間暴露),但一旦轉移回高鹽條件,呼吸活性立即恢復(甚至 after 7 days at 0.5 M NaCl)。這表明即使經歷極端低鹽壓力,部分細胞仍保留完整的呼吸鏈和離子泵功能,能夠快速重啟能量生產,為蛋白質修復、分子伴侶作用和離子穩態恢復提供能量基礎。這些數據證實了細胞在低鹽應激下仍維持基本代謝能力,并突顯其恢復的迅速性和高效性,對理解嗜鹽古菌在鹽度波動環境中的生存策略至關重要。
結論:
1 Halobacterium salinarum中存在一個亞群體能夠耐受低鹽壓力(低至0.5 M NaCl)并在恢復至高鹽條件后復活。
2 低鹽導致蛋白質組分子動力學擾動、生長停滯、形態變化和代謝下降,但恢復過程伴隨分子動力學快速正?;?、呼吸活性立即恢復以及形態和分裂能力逐步重建。
3 恢復機制可能涉及分子伴侶(如熱休克蛋白和Ssp45)、蛋白酶體清除損傷蛋白以及離子轉運系統的快速重啟。
4 該研究揭示了嗜鹽古菌在鹽度波動環境中的生存策略,對其生態分布和適應氣候變化具有重要意義。