熱線:021-66110810,66110819
手機:13564362870

熱線:021-66110810,66110819
手機:13564362870
Evaluating the mobility and labile of As and Sb using diffusive gradients in thin-films(DGT) in the sediments of Nansi Lake, China
利用薄膜擴散梯度技術(DGT)評估中國南四湖沉積物中砷和銻的遷移性與活性
來源:Science of the Total Environment 713 (2020) 136569
《總體環境科學》第713卷(2020年),文章編號136569
摘要核心內容
研究采用高分辨率滲析(HR-Peeper)和薄膜擴散梯度技術(DGT)同步測量南四湖沉積物孔隙水中的溶解態砷(As)、銻(Sb)及其活性態濃度。結果顯示:溶解態As和Sb平均濃度分別為5.00 μg/L和2.05 μg/L,DGT活性態As和Sb濃度分別為0-0.80 μg/L和0.50-0.67 μg/L。As的釋放與鐵錳氧化物還原溶解顯著正相關(r=0.348, p<0.05),而Sb與活性態Fe(r=-0.24)和Mn(r=-0.324)呈負相關,可能與弱堿性環境中Sb(III)被綠銹吸附有關。DGT活性態濃度與BCR連續提取法結果存在顯著差異,表明傳統化學形態分析無法反映As和Sb的實際遷移性?;贒GT的凈擴散通量顯示,As存在向上覆水釋放的風險(0.24 μg·m?2·d?1),而Sb表現為沉積物匯(-0.56 μg·m?2·d?1)。
研究目的
1. 測定南四湖沉積物中As和Sb的DGT活性態濃度;
2. 解析As和Sb的生物地球化學行為及其與Fe、Mn的相互作用機制;
3. 基于DGT數據評估As和Sb的生物可利用性及生態風險。
研究思路
1. 分層采樣與原位監測:
? 在南四湖微山湖污染區采集沉積物巖心,按1 cm間隔分層;
? 同步部署HR-Peeper(測溶解態)和ZrO-Chelex-AgI DGT探頭(測活性態),在沉積物-水界面(SWI)毫米尺度(分辨率2 mm)監測24小時。
2. 多參數關聯分析:
? 結合丹麥Unisense微電極測量溶解氧(DO)、氧化還原電位(Eh)、pH(圖1);
? 分析總有機碳(TOC)及BCR連續提取的As/Sb形態(圖5);
? 通過相關性統計(表1)解析As/Sb與Fe、Mn、S(-II)的關系。



3. 風險評估:
? 基于DGT活性態濃度計算凈擴散通量;
? 采用風險評估碼(RAC)量化生態風險(表2)。

測量數據及研究意義
1. 理化參數(圖1):
? 數據:DO從覆水層250 μmol/L降至沉積物4.6 mm處缺氧;Eh從421 mV降至65 mV;pH由7.9降至7.2;TOC平均3.31%。
? 意義:證實沉積物自上而下由氧化向還原環境轉變,為As/Sb釋放提供氧化還原梯度背景。
2. DGT活性態S(-II)通量(圖2):
? 數據:S(-II)通量從SWI處0升至-20 mm處峰值15 pg·cm?2·s?1,在-32至-100 mm穩定于10-15 pg·cm?2·s?1。
? 意義:揭示硫酸鹽還原區位置,指示硫化物對As/Sb固定的潛在作用。

3. 溶解態與DGT活性態濃度(圖3-4):
? 數據:溶解態As在-95 mm處出現異常峰值(19.88 μg/L),其余區域穩定(2.94-7.36 μg/L);DGT活性態As在-20 mm處達峰值0.80 μg/L,Sb穩定(0.50-0.67 μg/L)。
? 意義:As的峰值與Fe/Mn還原溶解耦合,而Sb的穩定性反映其吸附滯留機制。


4. 鐵錳分布(圖3-4):
? 數據:溶解態Fe/Mn在-20/-25 mm處達峰值(1365/1065 μg/L);DGT活性態Fe/Mn在-10 mm處最高(842.6/368.3 μg/L)。
? 意義:Fe/Mn氧化物還原為As釋放的關鍵驅動,而Sb與之脫鉤。
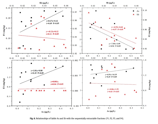
5. 形態分析(圖5):
? 數據:As和Sb的殘渣態(F4)占比最高(77.1%/90.4%),可交換態(F1)僅占0.78%/3.68%。
? 意義:傳統形態分析高估殘渣態穩定性,低估生物可利用風險。
6. 相關性(表1):
? 數據:DGT-As與Fe正相關(r=0.348),Sb與Fe/Mn負相關(r=-0.24/-0.324)。
? 意義:As釋放受Fe/Mn還原控制,Sb受綠銹吸附抑制。
結論
1. 遷移機制差異:As釋放與Fe/Mn氧化物還原溶解耦合,而Sb因Sb(III)被綠銹吸附呈現相反趨勢。
2. 技術對比:DGT活性態濃度與BCR連續提取結果顯著不同(圖6),證明傳統方法低估實際遷移性。

3. 風險評估:As凈擴散通量為正值(0.24 μg·m?2·d?1),存在上覆水污染風險;Sb為負值(-0.56 μg·m?2·d?1),沉積物表現為匯。
4. 生態啟示:南四湖沉積物中As的釋放風險需優先管控,尤其關注氧化還原過渡帶(0至-30 mm)。
丹麥Unisense電極測量數據的研究意義
1. 高分辨率環境梯度解析:
? 微電極實測DO、Eh、pH的毫米級剖面(圖1),精準定位氧化還原過渡帶(-4.6 mm處缺氧),揭示As在還原區釋放、Sb在弱堿性區吸附的關鍵環境閾值。
2. 驅動機制驗證:
? Eh降低(421 mV→65 mV)直接觸發Fe/Mn氧化物還原溶解,解釋As釋放峰值與Fe的同步性(圖3-4);pH緩降(7.9→7.2)佐證Sb(III)在弱堿性環境被綠銹吸附的負相關性。
3. 生態過程關聯:
? DO垂直分布量化微生物呼吸強度,關聯硫酸鹽還原區(S(-II)峰值區)與As/Sb固定機制,支撐"還原溶解-吸附滯留"耦合模型。