熱線:021-66110810,66110819
手機:13564362870

熱線:021-66110810,66110819
手機:13564362870
Tolerance of four grain legume species to waterlogging, hypoxia and anoxia at germination and recovery
四種谷物豆科植物在發芽和恢復時對澇、缺氧和缺氧的耐受性
來源:AoB PLANTS 2021, Vol. 13, No. 4
1. 摘要核心內容
本研究評估了草豌豆(3基因型)、小扁豆(2基因型)、蠶豆(2基因型)和豌豆(1基因型)在萌發期對澇漬、低氧(1.0/2.5 kPa氧分壓)和無氧(氮氣環境)的耐受性差異:
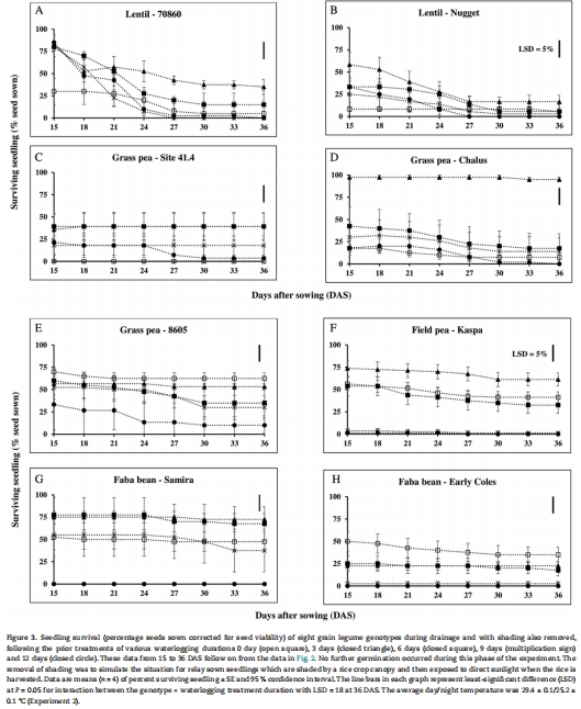
澇漬耐受性:草豌豆在澇漬后恢復期存活率最高(28%),顯著高于小扁豆(9%)(圖2-3)。


低氧/無氧響應:草豌豆在無氧條件下萌發恢復存活率達24%,在1.0 kPa低氧下存活率90%,均優于其他物種(表3-4,圖6)。



機制解析:通過Unisense微電極證實澇漬土壤4天后8mm深度完全缺氧(圖1),小種子因近地表氧分壓較高而萌發優勢顯著(表2)。


2. 研究目的
量化耐受性差異:明確四種豆科作物在澇漬、低氧和無氧條件下的萌發及恢復能力差異。
解析氧限制機制:通過土壤氧分壓剖面測量(Unisense電極)揭示種子位置的實際氧環境。
驗證農藝實踐適用性:評估草豌豆在稻作輪作系統(播后澇漬)中的適應性優勢。
3. 研究思路
三階段實驗設計:
實驗1:Unisense微電極動態監測澇漬土壤氧分壓(0-10天)(圖1)。
實驗2:盆栽模擬澇漬(0-12天)→排水恢復(36天),測量萌發率、存活率及根質量比(圖2-4)。

實驗3:實驗室控制氧濃度(0/1.0/2.5/20.6 kPa),評估萌發響應及恢復能力(圖5-6)。

關鍵變量:
物種/基因型:8個基因型覆蓋4物種(表1)。

脅迫強度:澇漬時長(0-12天)、氧分壓(0-20.6 kPa)。
恢復指標:萌發率、存活率、根質量比(RMR)。
4. 關鍵數據及研究意義
(1) 土壤氧分壓動態(圖1)
數據來源:Unisense PA2000微電極測量澇漬土壤剖面氧分壓。
發現:
澇漬4天后,8mm深度氧分壓降至0 kPa(圖1A)。
小種子(如小扁豆70860)位于0-2mm層(氧分壓8.4-15.5 kPa),大種子(如蠶豆)深埋后氧分壓僅0.2 kPa(表2)。
意義:首次量化種子實際氧環境,解釋小種子萌發優勢(氧獲取能力強)。
(2) 澇漬時長對萌發的影響(圖2-3)
數據來源:盆栽實驗測量萌發率及恢復期存活率。
發現:
小扁豆70860在澇漬中萌發率最高(94%),但恢復期存活率驟降至35%(圖2A, 圖3A)。
草豌豆8605澇漬9天后存活率仍達36%,恢復期存活率95%(圖2E, 圖3D)。
根質量比(RMR)在草豌豆中隨澇漬延長而升高(0.16→0.32),豌豆則下降(0.23→0.16)(圖4)。
意義:揭示物種間策略差異——小扁豆"萌發優先但恢復弱",草豌豆"穩扎穩打耐恢復"。
(3) 低氧/無氧耐受性(圖6, 表3-4)
數據來源:人工氧控系統下的萌發測試。
發現:
無氧環境:草豌豆恢復存活率24%,顯著高于蠶豆(6%)和豌豆(7%)(表3)。
低氧環境:草豌豆在1.0 kPa氧下存活率90%,而小扁豆在2.5 kPa下僅67%(圖6B vs 6A)。
意義:確立草豌豆為極端低氧適應性最強的豆科作物,為低洼地育種提供靶標。
5. 核心結論
耐受性排序:草豌豆 > 豌豆/蠶豆 > 小扁豆(澇漬恢復存活率及低氧適應性)。
種子大小效應:小種子(小扁豆)澇漬萌發率高(氧獲取易),但恢復期存活率低;大種子(草豌豆)綜合耐受性強。
氧分壓閾值:土壤8mm深度為缺氧邊界(圖1);氧分壓<1.0 kPa時僅草豌豆維持高萌發(圖6)。
農藝意義:稻作輪作系統中優先選擇草豌豆,避免小扁豆(恢復期高死亡率)。
6. 丹麥Unisense電極數據的詳細解讀
技術原理與方法
設備型號:Unisense PA2000微電極(尖端直徑50μm),配合OXR50氧敏感探頭。
實驗設計:
電極垂直插入盆栽土壤,以0.5mm步進測量0-8mm深度氧分壓。
兩點校準:空氣飽和水(20.6 kPa)與抗壞血酸無氧溶液(0 kPa)。
連續監測澇漬后0-10天的氧動態(采樣頻率1Hz)。
關鍵發現與意義
氧耗竭動力學:
時間維度:澇漬4天后氧分壓穩定于0 kPa(8mm深度)(圖1A)。
→ 意義:界定澇漬致缺氧臨界時長為4天,指導排水時機。
空間維度:地表2mm處氧分壓15.5 kPa,8mm處0 kPa(圖1A)。
→ 意義:揭示種子播種深度對氧獲取的決定性作用,解釋小種子優勢(表2)。
種子氧微環境量化:
小扁豆70860(種子厚2.1mm)位于氧分壓8.4-15.5 kPa層,蠶豆(厚5.6-20.9mm)僅0.2 kPa(表2)。
→ 意義:首次直接關聯種子尺寸與實際氧暴露水平,推翻“大種子儲能優勢”假設。
技術優勢:
毫米級分辨率:0.5mm步進揭示土壤氧陡變梯度(地表至8mm氧分壓差達15.5 kPa)。
動態過程捕捉:分鐘級數據揭示氧耗竭速率(0→4天),為澇漬進程提供量化指標。
生理關聯性:結合萌發數據(圖2),證實氧分壓>8.4 kPa是小扁豆高萌發率的直接原因。
理論修正與農藝價值
修正認知:傳統認為"澇漬致死=缺氧傷害",但數據表明種子位置氧分壓才是關鍵限制因子。
育種指導:選育小尺寸草豌豆基因型(如8605),兼顧萌發氧需求與恢復韌性。
播種實踐:稻作輪作中建議淺播(<2mm),確保種子處于高氧區。
總結
本研究通過整合Unisense微電極技術與多脅迫表型分析,揭示豆科作物澇漬響應的核心規律:
耐受性等級:草豌豆 > 豌豆/蠶豆 > 小扁豆(基于恢復期存活率)。
種子尺寸悖論:小種子萌發占優(高氧獲?。┑謴腿?,大種子綜合抗性強。
氧控閾值:土壤8mm為缺氧邊界;氧分壓<1.0 kPa時僅草豌豆維持生長。
丹麥Unisense電極的毫米級氧分壓剖面為解析種子微環境提供不可替代的直接證據,推動澇漬耐受育種從經驗篩選邁向精準設計。