熱線:021-66110810,66110819
手機:13564362870

熱線:021-66110810,66110819
手機:13564362870
Acclimation and adaptation to elevated pCO2 increase arsenic resilience in marine diatoms
海洋硅藻對高pCO2的馴化與適應增強砷抗性
來源:The ISME Journal (2021) 15:1599–1613
《國際微生物生態學雜志》2021年 第15卷 頁碼1599–1613
摘要內容
研究探討了海洋酸化(高pCO?)如何影響三種硅藻(Phaeodactylum tricornutum、Thalassiosira pseudonana、Chaetoceros mulleri)對砷毒性的響應。通過短期(30天)、中期(750天)和長期(1460天)的pCO?(400、1000、2000 μatm)馴化實驗,發現高pCO?能快速緩解砷毒性,但長期適應后緩解效果減弱。機制上,硅藻通過上調轉運蛋白(如ACR3、ArsB)排出胞內砷,并增強谷胱甘肽(GSH)合成以螯合砷。當用高pCO?馴化的硅藻喂養扇貝(Patinopecten yessoensis)時,扇貝體內砷積累降低3.26–52.83%。該研究揭示了海洋酸化可能通過改變硅藻的砷解毒策略,影響砷在食物鏈中的傳遞與生態風險。
研究目的
1. 量化高pCO?對硅藻砷毒性的緩解效應:探究不同時間尺度下pCO?升高如何改變硅藻對砷(AsIII/AsV)的生理響應。
2. 揭示解毒機制:通過轉錄組和生化分析,闡明硅藻在高pCO?下增強砷抗性的分子途徑。
3. 評估食物鏈傳遞:驗證高pCO?馴化的硅藻能否降低砷向扇貝(次級消費者)的轉移。
研究思路
1. 多時間尺度實驗設計:
? 短期(ST):30天pCO?馴化后暴露于砷。
? 中期(MT):750天pCO?馴化后砷暴露。
? 長期(LT):1460天pCO?馴化后砷暴露。
2. 多維度響應監測:
? 生理指標:生長率、胞內砷濃度、光合作用與呼吸速率。
? 分子機制:轉錄組測序分析砷代謝相關基因表達(如轉運蛋白、GSH合成酶)。
? 生態傳遞:用馴化硅藻喂養扇貝,測定其體內砷積累。
3. 環境模擬驗證:
? 實驗室結果在室外培養系統(自然光溫條件)中復現。
? 野外移植實驗(Sanggou Bay)驗證實驗室結論的普適性。
測量數據及研究意義
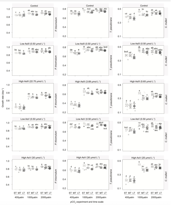
1. 生長率(圖1)


? 數據:高pCO?(1000/2000 μatm)馴化的硅藻在砷暴露下生長率更高(例如,2000 μatm組生長抑制降低50%)。
? 意義:證實高pCO?可快速(30天內)緩解砷毒性,但長期(1460天)適應后效應減弱。
? 來源:圖1展示不同pCO?組在砷處理下的生長率對比。
2. 胞內砷濃度(圖2)

? 數據:高pCO?組胞內砷積累減少(如1000 μatm組降低30%),且有機砷(DMA)比例上升。
? 意義:pCO?升高促進砷外排和低毒形態轉化,降低胞內毒性。
? 來源:圖2顯示不同處理下胞內砷濃度及形態分布。
3. 碳利用效率(CUE)(圖4)

? 數據:高pCO?馴化硅藻的CUE提升(凈光合/總光合比率增加),尤其在室外實驗中更顯著。
? 意義:高pCO?優化能量分配,支持砷解毒所需的ATP合成(如GSH螯合)。
? 來源:圖4對比室內外實驗中CUE的變化。
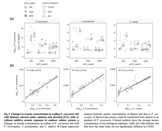
4. 砷的食物鏈傳遞(圖5)

? 數據:扇貝攝食高pCO?馴化硅藻后,體內砷積累降低3.26–52.83%。
? 意義:海洋酸化可能削弱砷在食物鏈中的生物放大效應。
? 來源:圖5a展示扇貝砷含量,圖5b證實硅藻與扇貝砷濃度的正相關性。
5. 基因表達與酶活性(圖6)

? 數據:高pCO?下砷外排基因(ACR3、ArsB)和GSH合成酶(γ-ECs)上調,砷螯合能力增強。
? 意義:從分子層面揭示pCO?緩解砷毒性的機制(外排+螯合)。
? 來源:圖6整合基因表達、酶活及代謝通路變化。
丹麥Unisense電極測量數據的研究意義
測量參數:凈光合作用(NP)、暗呼吸(DR)、碳利用效率(CUE)。
技術優勢:
1. 高時空分辨率:
? 使用微電極(Clark型OX-MR)實時監測4 mL樣品中的氧濃度變化,精度達μmol O?·cell?1·h?1。
? 結合光照/黑暗交替,精準區分光合與呼吸速率(圖4)。
2. 揭示能量代謝重編程:
? 高pCO?組NP/DR比值升高(CUE提升),表明更多能量用于砷解毒而非維持代謝(圖4)。
? 驅動機制:高pCO?下調碳濃縮機制(CCM),減少能量消耗,支持ATP合成酶活性。
3. 連接生理與生態效應:
? CUE提升解釋硅藻在高砷環境中的生長優勢(圖1),并降低砷向扇貝傳遞的風險(圖5)。
結論
1. 砷毒性緩解:高pCO?通過上調砷外排轉運蛋白(ACR3/ArsB)和GSH合成,降低胞內砷積累及毒性,但長期適應后效應減弱。
2. 能量代謝優化:pCO?升高提升碳利用效率(CUE),支持解毒所需的能量分配(如ATP合成)。
3. 食物鏈影響:高pCO?馴化的硅藻減少砷向扇貝傳遞,可能改變海洋砷的生物地球化學循環。
4. 分子機制:轉錄組證實砷解毒通路(外排+螯合)是高pCO?下抗性增強的核心。