熱線:021-66110810,66110819
手機:13564362870

熱線:021-66110810,66110819
手機:13564362870
Photobiomodulation and Oxidative Stress: 980nm Diode Laser Light Regulates Mitochondrial Activity and Reactive Oxygen Species Production
光生物調節與氧化應激:980nm二極管激光調控線粒體活性與活性氧生成
來源:Oxidative Medicine and Cellular Longevity, 2021,Volume 2021, Article ID 6626286
《氧化醫學與細胞長壽》2021年 第2021卷,文章編號 6626286
摘要內容
研究首次證明980nm激光可調控牛肝線粒體呼吸鏈復合物III和IV的活性,并影響ATP合成與氧化應激水平。低功率(0.1–0.2W)抑制ATP合成并誘發呼吸鏈解耦聯;中功率(0.3–0.7W)無顯著效應;高功率(0.8–1.1W)通過激活復合物III和IV提升ATP產量(圖1)。1.2–1.4W時ATP恢復至基線水平。激光還通過增加氧耗(圖2b)誘導活性氧(ROS)積累和脂質過氧化(圖5),但未影響三羧酸循環酶活性(圖4)。




研究目的
探究980nm激光與線粒體的相互作用機制,明確其對呼吸鏈復合物、能量代謝及氧化應激的調控效應,填補900–1000nm波長光生物調節機制的研究空白。
研究思路
1. 激光參數設計:采用980nm二極管激光(連續波模式),功率0.1–1.4W(0.1W梯度遞增),輻照60秒,光斑面積0.78cm2(表1)。

2. 線粒體分離:從牛肝中提取線粒體富集組分,排除溫度干擾。
3. 多指標檢測:
? 能量代謝:ATP合成(圖1)、氧消耗速率(OCR)(圖2b)、P/O比值(圖2c)。
? 呼吸鏈:復合物I–IV活性(圖3)。

? 氧化應激:超氧陰離子(圖5a)、丙二醛(MDA)(圖5b)。
? 三羧酸循環:異檸檬酸脫氫酶(IDH)和蘋果酸脫氫酶(MDH)活性(圖4)。
4. 機理解析:結合呼吸鏈復合物活性與氧化應激數據,闡明激光通過靶向復合物III/IV調控能量代謝與ROS平衡。
測量數據及研究意義
1. ATP合成(圖1):
? 數據:0.1W抑制ATP合成(↓60%),0.8W顯著提升(↑40%)。
? 意義:首次明確980nm激光存在"窗口效應",為光療參數優化提供依據。
2. 氧消耗速率(OCR)(圖2b):
? 數據:0.1W時OCR降低且P/O比值降至0.7(正常2.5),表明呼吸鏈解耦聯;0.8W時OCR與ATP同步增加。
? 意義:揭示激光通過調節復合物III/IV(圖3c,d)影響質子梯度與能量轉化效率。
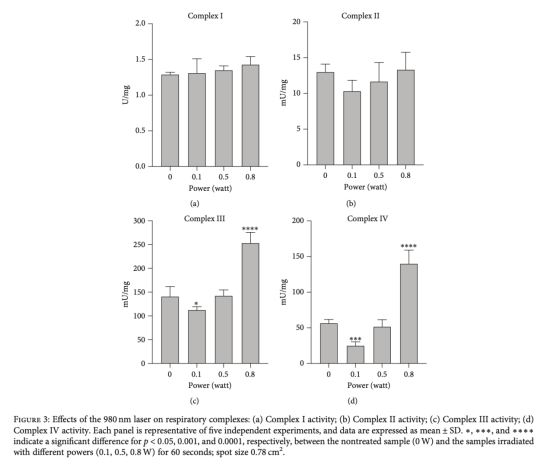
3. 呼吸鏈復合物活性(圖3):
? 數據:僅復合物III和IV受激光調控(0.1W抑制,0.8W激活),復合物I/II無變化。
? 意義:證實980nm特異性靶向含銅/鐵硫中心的復合物,拓展光生物調節的分子靶點認知。
4. 氧化應激指標(圖5):
? 數據:0.1W和0.8W均升高超氧陰離子(↑30–50%)和MDA(↑20–40%)。
? 意義:激光誘導的氧耗增加和線粒體孤立環境導致ROS累積,提示臨床應用需權衡促代謝與氧化損傷風險。
5. 三羧酸循環酶(圖4):
? 數據:IDH與MDH活性不受激光影響。
? 意義:排除上游代謝干擾,確認激光效應集中于呼吸鏈。
丹麥Unisense電極數據的詳細研究意義
使用Unisense微呼吸測定系統實時監測線粒體氧消耗(圖2b),其意義在于:
1. 高靈敏度解析呼吸狀態:檢測到0.1W激光引發的呼吸鏈解耦聯(P/O比值驟降),直接證明能量轉化效率受損,而傳統ATP檢測無法區分解耦聯與抑制。
2. 實時動態監測:結合ATP數據,明確0.8W激光通過同步提升OCR和ATP合成(P/O比值不變)實現"耦合性激活",排除熱效應干擾。
3. 氧化應激關聯機制:OCR增加與ROS升高(圖5a)顯著相關,證實激光通過增強電子傳遞鏈活性間接促進超氧陰離子生成,為光調節中ROS的雙重角色(信號分子/損傷因子)提供證據。
結論
1. 靶向性調控:980nm激光特異性激活線粒體復合物III和IV,且存在功率依賴性"窗口效應"(0.8W最佳)。
2. 能量代謝與氧化應激平衡:高功率(0.8W)提升ATP合成效率,但伴隨ROS積累;低功率(0.1W)引發解耦聯與嚴重氧化損傷。
3. 應用啟示:光療需精確控制參數以避免氧化損傷,并探索復合物III/IV作為新型光調節靶點。