熱線:021-66110810,66110819
手機:13564362870

熱線:021-66110810,66110819
手機:13564362870
Impact of the substrate composition on enhanced biological phosphorus removal during formation of aerobic granular sludge
底物組成對好氧顆粒污泥形成過程中強化生物除磷的影響
來源:Bioresource Technology, Volume 337, 2021, Article 125482
《生物資源技術》第337卷,2021年,文章編號125482
摘要內容:
研究通過兩階段實驗(階段I:142天,階段II:62天)探究不同碳源(揮發性脂肪酸VFAs、氨基酸、葡萄糖及其混合物)對好氧顆粒污泥(AGS)形成過程中強化生物除磷(EBPR)的影響。結果顯示:僅當VFAs作為單一碳源(SBR A/D)或混合物組分(SBR E)時,系統能實現穩定EBPR(PO?3?-P去除率>98%),并伴隨Accumulibacter富集(最高21.9 mg PO?-P·gVSS?1釋磷量);而氨基酸(SBR B)和葡萄糖(SBR C)系統則導致EBPR不穩定(去除率67.8-80.6%)。VFAs系統產生顯著N?O排放(最高6.25%總氮),非VFAs系統則富集Burkholderiaceae(氨基酸)和Saccharimonadaceae(葡萄糖)菌群。
研究目的:
闡明復雜單體化合物(氨基酸、葡萄糖)與VFAs對AGS-EBPR系統脫氮除磷性能、微生物群落結構及N?O排放的影響,為工業廢水處理提供優化依據。
研究思路:
1. 多系統并行實驗:設計5個SBR反應器(SBR A:VFAs對照;SBR B:氨基酸;SBR C:葡萄糖;SBR D:階段II VFAs對照;SBR E:混合底物)。
2. 性能監測:追蹤PO?3?-P/COD去除率、污泥形態(SVI、DV50)、溶解性有機碳(DOC)厭氧攝取及釋磷量(圖1)。

3. 氣體排放分析:采用Unisense微電極監測N?O動態排放(表3)。

4. 微生物解析:qPCR定量Accumulibacter/Competibacter,16S rRNA測序分析群落結構(圖4-5)。


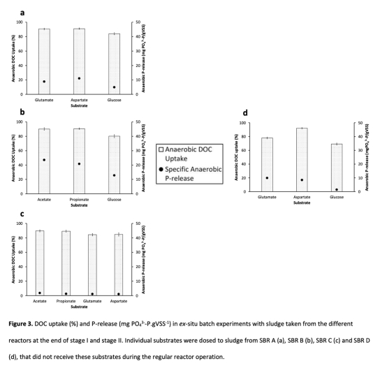
5. 外源底物驗證:通過外批次實驗測試不同底物對非適應污泥的EBPR活性(圖2-3)。


測量數據及研究意義:
1. PO?3?-P去除率(表1):


? SBR A/D/E >98%(穩定EBPR),SBR B/C ≤80.6%(波動大),證實VFAs是EBPR穩定的關鍵。
2. 厭氧釋磷量(圖1):
? SBR A達21.9 mg P·gVSS?1(VFAs),SBR B/C ≤4.1 mg P·gVSS?1,揭示非VFAs底物抑制聚磷菌代謝。
3. 污泥形態(表2):

? 所有系統DV50增大(141→235μm)、SVI降低(73.3→38.4 mL·gMLSS?1),證明復雜底物不影響顆粒化進程。
4. N?O排放(表3):
? VFAs系統排放量更高(SBR D:6.25%),關聯Accumulibacter富集和反硝化酶(nosZ)抑制。
5. 微生物豐度(圖4):
? SBR A/D/E中Accumulibacter占主導(>101? cells·gVSS?1),SBR B富集Burkholderiaceae(氨基酸直接利用菌),SBR C富集Saccharimonadaceae(葡萄糖發酵菌)。
丹麥Unisense電極數據的詳細研究意義:
采用Unisense N?O微電極(未明確型號,推測分辨率≤50μm)監測反應器液相N?O濃度(表3),其意義在于:
1. 高時空分辨率:實時捕捉瞬態N?O排放峰值(如SBR D最大速率20.3 μg N?O-N·gVSS?1·h?1),揭示VFAs系統在好氧期因PHA緩慢降解導致反硝化不完全(nosZ酶活性抑制)。
2. 代謝路徑關聯:非VFAs系統(SBR B)未檢測到N?O,結合其低DOC厭氧攝取(51.5%)和高COD泄漏,證實氨基酸系統通過異養反硝化實現N?O零積累,為工藝選擇提供減排依據。
3. 量化貢獻率:精確計算N?O-N排放占總氮比例(0-6.25%),量化不同底物對溫室氣體排放的貢獻,填補復雜廢水AGS系統N?O動態數據空白。
結論:
1. 底物依賴性:穩定EBPR需VFAs作為主要碳源(直接或混合),其促進Accumulibacter富集和高效釋磷(>21 mg P·gVSS?1);氨基酸/葡萄糖系統則富集特殊菌群(Burkholderiaceae/Saccharimonadaceae),導致EBPR不穩定。
2. N?O排放機制:VFAs系統高N?O排放(6.25%)與Accumulibacter的PHA反硝化代謝及nosZ抑制相關;氨基酸系統通過異養反硝化實現近零排放。
3. 顆粒化普適性:所有底物均支持污泥顆粒化(DV50>200μm),VFAs提升胞外聚合物(ALE>400 mg·gVSS?1)含量。
4. 工程啟示:處理含蛋白質/碳水化合物廢水時,需補充VFAs(≥33% COD)以穩定除磷,但需權衡N?O排放風險。