熱線:021-66110810,66110819
手機:13564362870

熱線:021-66110810,66110819
手機:13564362870
Anode biofilm influence on the toxic response of microbial fuel cells under different operating conditions
不同操作條件下陽極生物膜對微生物燃料電池毒性響應的影響
來源:Science of the Total Environment, 775 (2021) 145048
《整體環境科學》第775卷 2021年 文章編號145048
摘要內容:
研究揭示了微生物燃料電池(MFC)的毒性響應受陽極生物膜特性(如結構、微生物群落)的顯著影響,并通過調控流速(0.5–5 mL/min)和培養時間(7–90天)探究其機制。結果表明:
1. 流速影響:2 mL/min流速下毒性響應最快(抑制率45.1%±5.3%),因生物膜薄且均勻(圖4c),Geobacter豐度高(57%),氧化還原電位(ORP)變化顯著(-159.2 mV→-269.9 mV)(圖4a)。

2. 培養時間影響:7天培養的MFC響應最敏感(抑制率45.1%),90天后響應延遲(抑制率降至23.2%)因生物膜增厚(圖4h)及產甲烷菌增多(表2)。

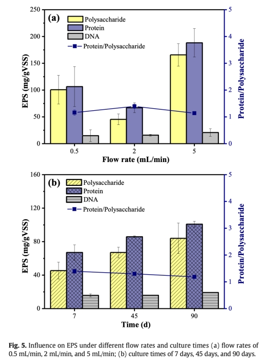
3. 核心機制:Unisense微電極證實生物膜內ORP梯度與電子傳遞效率直接相關(圖4a,e),EPS組分(蛋白質/多糖比)影響毒素擴散速率(圖5)。

研究目的:
1. 揭示流速與培養時間對MFC毒性響應靈敏度的影響機制
2. 明確陽極生物膜特性(微生物群落、ORP梯度、EPS)與毒性響應的關聯
3. 優化MFC生物傳感器操作參數以提升實際應用性能
研究思路:
1. 實驗設計:構建雙室MFC,對比不同流速(0.5/2/5 mL/min)和培養時間(7/45/90天)下的毒性響應(以2,4-二氯苯酚為模型毒物)。
2. 多參數監測:
? 電化學性能:電壓抑制率(圖1a-c)、功率密度(圖2a-b)


? 生物膜特性:微生物群落(圖2c、表2)、ORP微剖面(Unisense電極,圖4a,e)、EPS組分(蛋白質/多糖/DNA,圖5)
? 形貌分析:CLSM生物膜成像(圖4b-d,f-h)
3. 機制驗證:關聯ORP梯度變化與Geobacter豐度(圖4a vs 表2),闡明EPS對毒素擴散的屏障效應(圖5)。
測量數據及其研究意義:
1. 電壓抑制率(圖1c)
? 數據:2 mL/min流速下抑制率最高(45.1%±5.3%),0.5 mL/min時僅8.4%±1.6%
? 意義:證實中等流速(2 mL/min)優化基質傳遞與生物膜結構,提升響應靈敏度
2. 功率密度(圖2a-b)
? 數據:2 mL/min時功率密度達1137.0±65.5 mW/m2,90天降至950.8±125.1 mW/m2
? 意義:高功率密度對應高效電子傳遞,與Geobacter豐度正相關(表2)
3. 微生物群落(圖2c, 表2)
? 數據:2 mL/min時Geobacter相對豐度57%(0.5 mL/min時為50%),90天時降至36%
? 意義:Geobacter主導直接電子傳遞,其豐度決定毒性響應速度;產甲烷菌(Methanosarcina)增殖(90天達53%)降低靈敏度
4. ORP微剖面(圖4a,e)
? 數據:2 mL/min時200μm生物膜內ORP降幅達110 mV(-159.2→-269.9 mV),90天時僅19.1 mV
? 意義:ORP梯度反映生物膜內電子傳遞活性,陡峭梯度(7天)對應快速響應
5. EPS組分(圖5)
? 數據:7天培養時蛋白質/多糖比1.4(90天降至1.2),多糖含量最低(45.4 mg/g)
? 意義:低多糖含量減少毒素擴散屏障,高蛋白比例增強電子傳遞
結論:
1. 最佳操作參數:流速2 mL/min + 7天培養時MFC毒性響應最快(抑制率45.1%),因薄生物膜(圖4c)、高Geobacter豐度(57%)、顯著ORP梯度(110 mV變化)。
2. 生物膜特性核心作用:ORP梯度(圖4a,e)和EPS組分(圖5)共同調控毒素擴散與電子傳遞效率,直接決定響應靈敏度。
3. 長期運行弊端:培養時間>45天導致生物膜增厚(圖4h)、產甲烷菌增殖(表2),降低響應速度與抑制率。
丹麥Unisense電極測量數據的研究意義:
使用Unisense RD10-9145 ORP微電極以10μm步長掃描生物膜剖面(圖4a,e):
1. 揭示生物膜內氧化還原梯度:首次量化200μm厚度內ORP從-159.2 mV(近電極)降至-269.9 mV(遠電極),證明電子傳遞的空間異質性(圖4a)。
2. 關聯微生物活性與響應速度:陡峭ORP梯度(7天降110 mV)對應高Geobacter豐度(57%)和快速毒性響應(4小時),為"薄生物膜高效響應"提供電化學證據(圖4e vs 表2)。
3. 驗證流速影響機制:2 mL/min時ORP變化最劇烈(降幅110 mV),解釋其中等流速下最優性能(對比0.5/5 mL/min僅48/29 mV變化)。
4. 技術優勢:微米級分辨率克服傳統電極的空間局限,原位捕捉生物膜內代謝微環境動態,為優化MFC傳感器設計提供關鍵參數。