熱線:021-66110810,66110819
手機:13564362870

熱線:021-66110810,66110819
手機:13564362870
N?O reduction during denitrifying phosphorus removal with propionate as carbon source
以丙酸鹽為碳源反硝化除磷過程中N 2 O的還原
來源:Environmental Science and Pollution Research (2022) 29:12390–12398
摘要核心內容
本研究通過三個序批式反應器(SBR)對比了不同碳源(乙酸鹽、丙酸鹽及其混合物)對反硝化除磷(DPR)過程中氧化亞氮(N?O)排放的影響。核心發現:
N?O減排效果:丙酸鹽系統(RP)的N?O排放因子僅為0.43%,顯著低于乙酸鹽系統(RA)的16.3%和混合碳源系統(RM)的1.9%(表1)。

營養物去除差異:丙酸鹽系統的脫氮效率比乙酸鹽系統低40.6%,但除磷效率無顯著差異(表1)。
關鍵機制:丙酸鹽系統亞硝酸鹽(NO??)積累量更低(圖1),且糖原積累菌(GAOs)豐度降低,共同導致N?O排放減少(圖2)。


研究目的
量化碳源對N?O排放的影響:對比乙酸鹽、丙酸鹽及其混合物在DPR過程中的N?O生成量。
揭示減排機制:從亞硝酸鹽積累、聚羥基脂肪酸酯(PHAs)合成及微生物群落角度解析減排原理。
優化工藝:為廢水處理廠提供低碳源選擇,實現溫室氣體減排。
研究思路與技術路線
采用 長期運行→批式實驗→機制驗證 的三步策略:
長期SBR運行:
建立三個SBR(RA:乙酸鹽;RP:丙酸鹽;RM:混合碳源),運行4個月(Methods 2.1)。
監測營養物去除(N/P)及N?O排放(表1,圖1-2)。
批式實驗驗證:
批式I:測試不同碳源下NO??、NO??、N?O的還原速率(表2)。

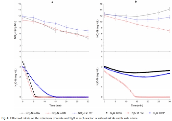
批式II:探究硝酸鹽(NO??)存在下NO??和N?O的還原競爭(圖4)。

批式III:對比丙酸鹽系統中NO??/NO??作為電子受體時的N?O產量(圖5)。

機制分析:
測定PHAs合成量及組分(圖3),分析微生物群落變化(4.2節)。

關鍵數據及研究意義
1. N?O排放與營養物去除(表1)
數據:
RA系統N?O排放因子16.3%,RP系統僅0.43%(表1)。
RP系統脫氮效率(28.4%)顯著低于RA(71.4%),但除磷效率相當(>87%)。
意義:證實丙酸鹽可大幅降低N?O排放,但需權衡脫氮效率損失。
2. 亞硝酸鹽積累動態(圖1)
數據:
RA系統最大NO??積累量21.3 mg N/L,RP系統始終<1 mg N/L(圖1c)。
N?O峰值與NO??積累正相關(RA:3.3 mg N/L vs. RP:≈0 mg N/L,圖2)。
意義:亞硝酸鹽積累是驅動N?O生成的關鍵因素,丙酸鹽通過抑制NO??積累實現減排。
3. PHAs合成與組分(圖3)
數據:
RA系統PHAs合成量最高(3.0 mmol-C/g VSS),PHB占比66.1%;RP系統PHAs合成量最低(2.0 mmol-C/g VSS),PH?MV占比63%(圖3)。
意義:丙酸鹽改變PHAs組分(PH?MV為主),降低電子供應速率,減少N?O生成潛力。
4. 反硝化酶活性(表2,圖4)
數據:
RA系統的NO??還原速率(R1)顯著高于NO??還原速率(R2),R1/R2=3.06(表2)。
NO??存在時,RA系統的NO??和N?O還原被強烈抑制(圖4b)。
意義:乙酸鹽系統因NO??/NO??還原失衡導致N?O積累,丙酸鹽系統無此現象。
5. 電子受體對比(圖5)
數據:
RP系統中,NO??作為電子受體時N?O產量(1.8 mg N/L)高于NO??(0.5 mg N/L)(圖5)。
意義:直接驗證NO??是N?O生成的主要前體物。
核心結論
丙酸鹽的減排優勢:N?O排放因子降低97%(RA 16.3% → RP 0.43%),主要歸因于低亞硝酸鹽積累和GAOs菌群抑制。
脫氮效率權衡:丙酸鹽系統脫氮率降低40.6%,需通過工藝優化(如碳源混合)平衡脫氮與減排目標。
微生物機制:丙酸鹽促進DPAOs富集(PH?MV為主),減少GAOs驅動的N?O生成。
Unisense電極數據的專項解讀
技術原理與部署
型號與功能:丹麥Unisense N?O微電極(檢測限0.1 μM),用于實時監測液相N?O濃度(Methods 2.4)。
部署場景:
SBR周期內N?O動態監測(圖2)。
批式實驗中N?O生成/消耗速率測定(圖4-5)。
關鍵發現與機制解析
N?O時間分辨率(圖2):
電極捕捉到RA系統在150分鐘后N?O急劇上升至3.3 mg N/L,而RP系統始終接近0 mg N/L。
意義:高時間分辨率(分鐘級)揭示N?O生成與亞硝酸鹽積累的同步性。
競爭抑制驗證(圖4):
電極數據顯示:NO??存在時,RA系統的N?O還原被抑制(圖4b),而RP系統不受影響。
意義:直接證明乙酸鹽系統中NO??與N?O還原的電子競爭機制。
前體物貢獻量化(圖5):
以NO??為電子受體時,RP系統N?O產量升高至1.8 mg N/L(圖5),明確NO??是N?O生成的主要前體。
研究意義
方法學優勢:
Unisense電極實現 原位、實時監測,克服傳統離線分析的滯后性,精準量化瞬態過程(如150分鐘后的N?O驟升)。
機制深度解析:
通過分鐘級數據關聯亞硝酸鹽積累與N?O生成,為“NO??→N?O”路徑提供直接證據。
工藝優化指導:
實時數據證明丙酸鹽系統可實現近零N?O排放,為廢水處理廠碳源選擇提供實證支持。
應用價值
碳源選擇策略:優先選用丙酸鹽或混合碳源(RM排放因子1.9%),平衡脫氮與減排需求。
工藝設計啟示:通過控制亞硝酸鹽積累(如優化碳氮比)可進一步抑制N?O生成。
電極技術推廣:Unisense微電極適用于生物膜/懸浮污泥體系,為復雜界面反應研究提供工具。
總結:丙酸鹽作為碳源可顯著降低DPR過程的N?O排放,Unisense電極數據從時間分辨率和機制關聯性層面為這一結論提供了堅實支撐,為廢水處理廠的低碳運行提供了新思路。