熱線:021-66110810,66110819
手機:13564362870

熱線:021-66110810,66110819
手機:13564362870
Organic carbon determines nitrous oxide consumption activity of clade I and II nosZ bacteria: Genomic and biokinetic insights
有機碳對I和II類nosZ細菌氮氧化物消耗活性的影響:基因組學和生物動力學視角
來源:Water Research 209 (2022) 117910
1. 摘要核心內容
論文探究了有機碳源類型對兩類含nosZ基因(clade I和II)的N?O還原菌活性的調控機制。關鍵發現包括:
碳源偏好性:乙酸鹽和琥珀酸鹽顯著提升N?O消耗速率(V<sub>max,N?O</sub>)和生物量產率(最高達15.45 mg-生物質/mmol-N?O),尤其對分支II菌株(如Azospira sp. I13)效果更佳。
菌株特異性響應:分支II菌株Azospira sp. I13對碳源代謝范圍較窄(僅利用乙酸鹽/琥珀酸鹽),但其V<sub>max,N?O</sub>比分支I菌株高157倍。
氧氣脅迫恢復:乙酸鹽加速N?O還原酶(N?OR)活性恢復(恢復速率V<sub>nos</sub>達0.35 h?1),縮短缺氧適應時間。
2. 研究目的
闡明有機碳源類型如何通過代謝路徑調控N?O還原菌的生理特性,為污水處理廠優選電子供體、強化N?O減排提供理論依據。
3. 研究思路
采用基因組-生理-動力學多維度驗證:
基因組分析:比對4株菌(2株clade I:P. denitrificans、Ps. stutzeri;2株clade II:Azospira sp. I09/I13)的碳代謝基因(圖2)。

生理實驗:
測量不同碳源下的生物量產率(圖3);

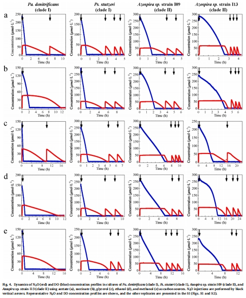
利用微呼吸系統(Unisense電極) 實時監測DO/N?O濃度動態(圖4);

量化氧氣暴露后N?OR活性恢復速率(圖7)。

動力學建模:擬合Michaelis-Menten方程獲取V<sub>max</sub>、K<sub>m</sub>等參數(圖5-6,表1)。



4. 測量數據及研究意義
關鍵數據來源與意義
測量指標 數據來源 研究意義
碳代謝基因譜 圖2 揭示菌株代謝潛力(如Azospira sp. I13缺乙醇脫氫酶基因),解釋底物利用差異。
生物量產率 圖3 乙酸鹽下clade II菌株產率最高(15.45 mg/mmol-N?O),表明能量轉化效率優勢。
DO/N?O實時動態 圖4 核心意義:Unisense電極捕捉毫秒級呼吸響應,顯示碳源對代謝切換的調控。
動力學參數(V<sub>max</sub>/K<sub>m</sub>) 表1,圖5-6 量化碳源對N?O親和力的影響(如乙酸鹽下I13的a<sub>N?O</sub>達8.88×10?? L/(cell·h))。
N?OR恢復速率(V<sub>nos</sub>) 圖7 乙酸鹽使I13恢復最快(V<sub>nos</sub>=0.35 h?1),指導污水處理廠缺氧區碳源優化。
5. 丹麥Unisense電極數據的深度解讀
技術原理:
采用 N?O/DO微電極(Unisense,尖端直徑≈10 μm),響應時間<0.3秒,空間分辨率達微米級(圖1)。
集成于密閉微呼吸系統,實時記錄菌株呼吸動態(15秒間隔)。
研究發現與意義:
代謝切換動力學(圖4):
乙酸鹽添加后,Azospira sp. I13的DO消耗速率(V<sub>max,DO</sub>=13.35 fmol/(cell·h))與N?O消耗速率(V<sub>max,N?O</sub>=18.84 fmol/(cell·h))同步提升,揭示碳源直接驅動電子傳遞鏈效率。
N?O注入后(黑色箭頭),消耗速率逐次遞增(第3次達201%),證明碳源誘導的酶活性適應性增強。
缺氧恢復機制(圖7):
電極捕捉到DO耗盡后N?O消耗的延遲恢復(如甲醇下延遲>5小時)。
乙酸鹽使I13的V<sub>nos</sub>提高3倍(0.35 vs. 0.10 h?1),證實其快速激活N?OR的能力,減少污水處理廠好氧-缺氧切換時的N?O逸散。
親和力量化(表1):
計算比親和力a<sub>N?O</sub> = V<sub>max</sub>/K<sub>m</sub>,發現I13在乙酸鹽下a<sub>N?O</sub>(8.88×10??)是琥珀酸鹽下的3.9倍,明確乙酸鹽是clade II菌株的高效電子供體。
方法論貢獻:
突破傳統瓶頸:克服氣相色譜等離線方法的延遲,首次實現秒級分辨率下碳源-N?O代謝耦合的原位觀測。
指導工藝優化:動態數據證明乙酸鹽可縮短N?OR恢復時間50%以上(1.37小時),為碳源投加策略提供量化依據。
6. 結論
碳源選擇的核心作用:
乙酸鹽/琥珀酸鹽最大化clade II菌株的N?O還原效率(V<sub>max,N?O</sub>提升>10倍)及生物量產率。
Azospira sp. I13的窄譜代謝特性限制其在甘油/甲醇下的應用,但乙酸鹽下表現最優。
氧氣脅迫應對:
乙酸鹽加速N?OR活性恢復(V<sub>nos</sub>最高),降低動態工況下的N?O排放風險。
工程啟示:
污水處理廠優選乙酸鹽為電子供體,可協同提升clade II菌株豐度與N?O減排效能。
動態監測微界面呼吸(Unisense)可實時優化碳源投加策略。
7. 圖表索引
圖1:微呼吸系統示意圖 → 技術原理

圖2:碳代謝基因圖譜 → 底物利用潛力
圖3:生物量產率 → 能量轉化效率
圖4:Unisense實時呼吸曲線 → 代謝動態調控
圖5-6:米氏方程擬合 → 動力學參數量化
圖7:N?OR恢復速率 → 氧氣脅迫響應
表1:動力學參數表 → 碳源-菌株互作效應
本研究通過Unisense微電極技術,首次揭示碳源對N?O還原菌的毫秒級生理調控,為污水廠碳源精準投控提供理論工具。