熱線:021-66110810,66110819
手機:13564362870

熱線:021-66110810,66110819
手機:13564362870
Benthos response to nutrient enrichment and functional consequences in coastal ecosystems
海岸帶生態系統中底棲生物對營養鹽富集的響應及功能影響
來源:Marine Environmental Research, 175 (2022) 105584
《海洋環境研究》,第175卷,2022年,文章編號105584
摘要內容
本研究通過離體實驗探究營養鹽富集對沉積物特性、大型底棲動物群落及底棲通量的影響。結果表明:
營養鹽富集增加沉積有機質(SOM)和孔隙水營養鹽濃度(NH??、NO?、PO?3?),但未顯著改變大型底棲動物群落結構。
大型底棲動物響應營養鹽富集時穴居深度變淺、通風活動增強,導致營養鹽(尤其是NO?)向水體釋放量增加,加劇富營養化。
海草床(Zostera marina)通過吸收營養鹽和改變沉積環境,顯著緩沖營養鹽富集的負面影響,使營養鹽通量降低30-50%。
研究目的
量化營養鹽富集對沉積物-水界面生物地球化學過程的影響。
解析大型底棲動物功能響應(生物擾動、通風活動)與營養鹽釋放的關聯機制。
評估海草床在緩解富營養化中的生態功能。
研究思路
實驗設計:
采集加拿大圣勞倫斯河口沉積物核心(含/不含海草),設置3個營養水平(N0: 背景值;N1: 2倍;N2: 4倍)和2個季節(5月/8月)。
監測30天內沉積物特性、孔隙水化學、大型底棲動物活動及底棲通量變化(圖1)。

多參數測量:
沉積物:有機質(SOM)、葉綠素a(Chl a)、脫鎂葉綠素(Phaeo)(表1)。

孔隙水:NH??、NO?、PO?3?濃度剖面(圖5)。

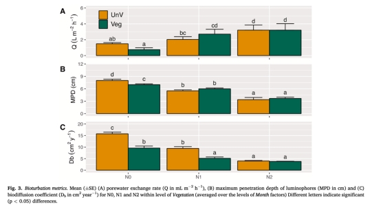
生物擾動:發光顆粒示蹤法測混合深度(MPD)、生物擴散系數(Db)(圖3);溴離子示蹤法測孔隙水交換率(Q)。

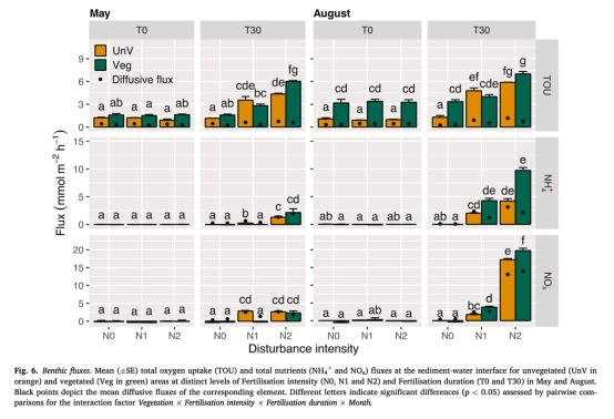
底棲通量:溶解氧(DOU)、營養鹽通量(圖6)。

溶解氧剖面:Unisense微電極測量氧滲透深度(OPD)(圖4)。

機制驗證:
結合微生物群落分析(PERMANOVA)和功能基因表達,解析營養鹽循環路徑。
測量數據及研究意義
沉積物特性(SOM、Chl a、Phaeo):
來源:LOI法、熒光法(表1)。
意義:營養鹽富集使SOM增加40-60%(N2組),Chl a/Phaeo比值下降指示有機質降解加速(圖3),證實富營養化促進沉積物礦化。
孔隙水營養鹽(NH??、NO?、PO?3?):
來源:分層離心+離子色譜(圖5)。
意義:N2組NH??濃度較對照組高3倍(0-2cm層),PO?3?在深層(>4cm)釋放,揭示營養鹽在沉積物中累積與擴散潛力。
生物擾動指標(MPD、Db、Q):
來源:發光顆粒示蹤(圖3B)、溴離子通量(圖3A)。
意義:營養鹽富集使穴居深度(MPD)減少50%(7.0→3.5cm),孔隙水交換率(Q)增加2倍(圖3A),表明生物活動改變營養鹽運移路徑。
溶解氧剖面(OPD):
來源:Unisense微電極(100μm分辨率)(圖4A)。
意義:營養鹽富集使氧化層厚度從8.4mm減至1.4mm(N2組),證實有機質礦化耗氧加劇。
底棲通量(DOU、NH??、NO?):
來源:核心培養+在線監測(圖6)。
意義:N2組NO?通量增加8倍(0.1→0.8 mmol m?2 h?1),揭示底棲系統成為營養鹽"源"。
Unisense電極數據的詳細研究意義
高分辨率氧剖面:
通過微電極(OX-100)以100μm步長測量沉積物氧梯度(圖4A),發現營養鹽富集使氧化層(OPD)從8.4mm(N0)壓縮至1.4mm(N2),直接證明有機質礦化耗氧量增加。
擴散通量量化:
結合Fick定律計算溶解氧擴散通量(DOU),顯示N2組DOU達1.4 mmol m?2 h?1(對照組0.1),為沉積物呼吸速率提供原位證據(圖4B)。
生態過程關聯:
OPD縮減與大型底棲動物穴居變淺(MPD下降)同步發生(圖3B),證實生物為避讓缺氧區改變行為,進而通過增強通風(Q上升)加速營養鹽釋放(圖6)。
結論
營養鹽釋放正反饋:營養鹽富集→沉積有機質增加→大型底棲動物穴居變淺且通風增強→營養鹽(尤其NO?)釋放量提升3-8倍→進一步加劇富營養化。
海草床緩沖機制:海草通過吸收孔隙水NH??(降低30%)和減弱水動力促進沉積,使N2組營養鹽通量比無植被區低50%(圖6)。
季節動態:夏季(8月)生物擾動更強,營養鹽釋放量比春季(5月)高40%,需關注富營養化風險的時間異質性。
管理啟示:保護海草床可有效阻斷"沉積物-水體"營養鹽循環,為海岸帶富營養化治理提供自然解決方案。