熱線:021-66110810,66110819
手機:13564362870

熱線:021-66110810,66110819
手機:13564362870
Denitrifying communities enriched with mixed nitrogen oxides preferentially reduce N2O under conditions of electron competition in wastewater
在廢水中電子競爭的條件下,富含混合氮氧化物的反硝化群落優先降低 N2O
來源:Chemical Engineering Journal 498 (2024) 155292
1. 摘要核心內容
本研究通過富集三種反硝化群落(分別以NO??(R1)、N?O(R2)、NO??+N?O(R3)為電子受體),探究電子競爭對N?O還原的影響機制。核心發現包括:
電子競爭效應:NO??和NO??的存在顯著抑制N?O還原速率(抑制率最高達58.6%),但混合底物富集的群落(R3)抑制程度更低(18.1-37.7%)(表3)。

微生物機制:N?O作為唯一電子受體時富集nosZ II型還原菌(豐度提升2379%),而NO??或混合底物富集nosZ I型菌(圖5);黃桿菌屬(Flavobacterium) 在R3中豐度提升40倍(圖6C),可緩解電子競爭。


工藝優化:在連續流反應器中,混合底物富集策略使N?O還原速率達77.7 mg-N/gVSS·h(R2)和56.4 mg-N/gVSS·h(R3),高于單一底物系統(表2)。

2. 研究目的
解析電子競爭機制:明確NO??、NO??與N?O共存時對反硝化酶電子分配的抑制效應(尤其N?O還原步驟)。
優化群落結構:通過不同電子受體組合富集特異性反硝化菌群,提升N?O還原能力。
開發減排策略:為污水處理廠N?O減排提供微生物調控依據,降低溫室氣體排放。
3. 研究思路
采用 “群落富集→功能驗證→機制解析” 三步法:
群落富集:
三個連續流反應器(R1: NO??;R2: N?O;R3: NO??+N?O)運行77天,分兩階段:無限污泥齡(0-42天)和恒化器模式(42-77天)(圖1)。

控制相同電子當量(30 mg-eq EA/L)和碳源(乙酸鈉,200 mg-COD/L)。
功能驗證:
批次實驗測試7種電子受體組合(A-G組),量化NO??、NO??、N?O還原速率(表1,圖3)。


對比不同富集群落對電子競爭的響應(表2)。
機制解析:
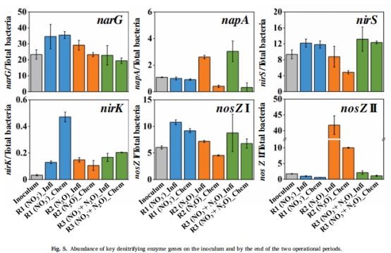
qPCR分析反硝化功能基因(narG, nirS, nosZ等)(圖5)。
16S rRNA測序揭示微生物群落結構(圖6)。
4. 測量數據及研究意義
(1) 反應器運行性能(圖2)

數據:COD去除率(73±4.6→158±3.7 mg/L)、VSS濃度(R2最低:0.45 g/L)。
意義:驗證系統穩定性;揭示N?O為唯一電子受體時生物量產量較低(因單步還原能量效率低)。
(2) 氮氧化物還原速率(表2, 圖3)
數據:
單一底物批次(A-C組):N?O還原速率最高(77.7 mg-N/gVSS·h,R2)。
多底物批次(D-G組):NO??/NO??使N?O還原速率下降18.1-58.6%(表3)。
意義:量化電子競爭對N?O還原的抑制強度;證明混合富集群落(R3)抗抑制能力更強。
(3) 功能基因豐度(圖5)
數據:
R2中nosZ II基因豐度提升2379%(vs 初始污泥)。
R1/R3中nosZ I基因占主導(8.8-10.8%總細菌)。
意義:關聯電子受體類型與N?O還原酶進化分支的選擇性富集。
(4) 微生物群落結構(圖6)
數據:
R3中黃桿菌屬(Flavobacterium) 豐度達4.3%(vs R1/R2: 0.1-0.5%)。
R2富集弧菌目(Vibrionales) (nosZ II型菌標志)。
意義:揭示Flavobacterium為緩解電子競爭的關鍵功能菌屬。
(5) 電子消耗速率(圖4B-C)

數據:R3在電子競爭下NOS酶電子消耗速率最高(4.31 mmol e?/gVSS·h)。
意義:證實混合富集群落優化電子分配至N?O還原步驟。
5. 核心結論
電子競爭普遍性:NO??/NO??存在時,N?O還原速率下降18-59%(表3),因NIR/NOS酶共享細胞色素c550電子池(圖4A)。
混合富集優勢:NO??+N?O富集的群落(R3)N?O還原抑制率最低(18.1%),因:
富集nosZ I型菌(適應多電子受體環境)。
黃桿菌屬豐度提升40倍,協調電子分配。
工藝啟示:污水處理中采用NO??+N?O混合底物富集策略,可增強系統N?O減排能力。
6. 丹麥Unisense電極的研究意義
(1) 技術優勢
原位監測:實時測量液相N?O濃度(正文2.2),精度達30 mg-N/L(通過5% N?O氣體平衡控制)。
動態捕捉:在批次實驗中連續記錄N?O還原速率瞬態變化(如NO??添加導致的抑制效應)。
抗干擾設計:微電極(10μm直徑)直接插入混合液,避免取樣誤差。
(2) 關鍵數據支撐
量化還原速率:測得最高N?O還原速率77.7 mg-N/gVSS·h(R2,表2),為理論機制提供實驗驗證。
揭示抑制規律:發現NO??對N?O還原的抑制強度(55.4%)高于NO??(24.7%)(表3),歸因于NIR/NOS的電子競爭。
(3) 研究價值
機制解析:直接證實電子競爭是N?O積累的主因,推翻“單純酶活性不足”假說。
工藝優化:為基于實時N?O監測的智能控制系統提供數據基礎(如調整缺氧段時長)。
圖表索引:
圖1:實驗裝置與反應器示意圖
圖2:COD去除率與生物量濃度
圖3:氮氧化物還原速率(批次實驗)
圖4:電子傳遞鏈與消耗速率
圖5:反硝化功能基因豐度
圖6:微生物群落結構(PCoA與屬水平組成)
表1:批次實驗設計
表2:氮氧化物還原速率匯總
表3:N?O還原抑制率
應用建議:污水處理廠可在反硝化區投加N?O并聯合NO??富集功能菌群,結合Unisense電極實時監測N?O,優化碳源分配與水力停留時間,實現N?O減排目標。