熱線:021-66110810,66110819
手機:13564362870

熱線:021-66110810,66110819
手機:13564362870
Stimulation of high-concentration dissolved nitrogen and reactive phosphorus in Lake Taihu sediments on the initiation and maintenance of cyanobacterial blooms
太湖沉積物中高濃度溶解態氮和活性磷對藍藻水華爆發與維持的刺激作用
來源:Science of the Total Environment, Volume 851, 2022, Article 158088
《總體環境科學》第851卷,2022年,文章編號158088
摘要內容
研究通過太湖梅梁灣沉積物月度采樣(2018-2019),結合高分辨率孔隙水采樣技術(HR-Peeper),揭示沉積物溶解態無機氮(DIN:NH??-N、NO??-N、NO??-N)和活性磷(DRP)對藍藻水華的關鍵作用:
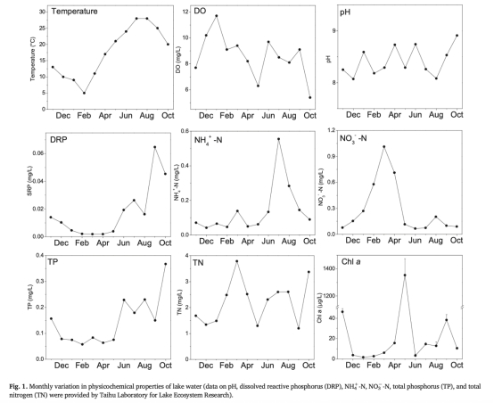
水華爆發期(4月):深層沉積物(>110 mm)出現異常高濃度NO??-N(2.26 mg/L)和NO??-N(0.18 mg/L),推測由地下水輸入引發(圖3)。這些電子受體促進有機磷礦化,導致DRP釋放(0.16-0.41 mg/L),緩解水體磷限制(圖4),刺激5月藍藻大規模爆發(葉綠素a達1354 μg/L)(圖1)。



水華維持期(6-8月):表層沉積物因藍藻殘體礦化釋放高濃度NH??-N,經古菌氨氧化作用(相對豐度87.99%)轉化為NO??-N和NO??-N(圖3,6),同時DRP維持高位。此過程為9月藍藻復發提供氮磷支持(圖1)。

研究目的
闡明太湖沉積物DIN和DRP的時空分布特征。
探究沉積物營養鹽動態對藍藻水華爆發與維持的影響機制。
研究思路
月度原位采樣:2018年11月-2019年10月,采集梅梁灣沉積物柱狀樣(含上覆水)及孔隙水(HR-Peeper,5 mm分辨率)。
多參數分析:
地球化學:DIN、DRP、UV254、熒光EEM光譜(圖3,5)

沉積物性質:TN、TP、TOC(圖2)

微生物:16S rRNA測序(古菌/細菌群落及功能預測)(圖6)
機制驗證:
結合水文數據(降雨量、水位)解析地下水輸入(圖7)

通過功能預測(FAPROTAX)關聯微生物過程與營養鹽轉化(圖6)
測量數據及研究意義
孔隙水營養鹽剖面(圖3)
數據:4月深層(>110 mm)NO??-N峰值(2.26 mg/L);6月表層NO??-N(0.82 mg/L)和DRP(0.28 mg/L)同步升高。
意義:揭示地下水輸入(4月)和藻殘體礦化(6月)是驅動沉積物營養鹽釋放的兩大關鍵過程。
微生物功能(圖6)
數據:6月表層沉積物古菌氨氧化菌(Nitrososphaeria)相對豐度達87.99%,顯著高于細菌氨氧化菌(<1.2%)。
意義:證實古菌主導氨氧化過程,將藻源NH??-N轉化為NO??-N,維持夏季氮循環。
水體營養鹽比例(圖4)
數據:5月水體TN/TP驟降(45→17),標志營養限制由磷限制轉為氮磷共限制。
意義:沉積物DRP釋放(4月)直接緩解水體磷限制,觸發藍藻爆發。
結論
水華觸發機制:4月地下水輸入NO??-N促進沉積物有機磷礦化,DRP釋放緩解水體磷限制,刺激5月藍藻爆發。
水華維持機制:6-8月藻殘體礦化釋放NH??-N,經古菌氨氧化轉化為NO??-N,與DRP共同支持9月藍藻復發。
微生物作用:古菌(而非細菌)主導沉積物氨氧化過程,是夏季氮轉化的關鍵驅動力。
丹麥Unisense電極數據的詳細研究意義
研究中使用的Unisense微電極系統(方法部分)原位測定了沉積物溶解氧(DO)穿透深度:
氧化層厚度界定:
電極數據顯示DO穿透深度<5 mm,明確沉積物氧化-缺氧界面位置。
意義:解釋氨氧化作用(需氧)僅發生在最表層(0-5 mm),而深層(>110 mm)厭氧環境排除本地硝化作用可能,佐證4月深層NO??-N來自地下水輸入。
氧化還原狀態驗證:
4月深層沉積物DO=0(嚴格厭氧),但NO??-N濃度異常高(2.26 mg/L)。
意義:證實深層NO??-N非本地產生,支持地下水輸入假說;同時解釋該環境下反硝化/DNRA受抑制(需NO??-N作為電子受體)。
過程機制耦合:
6月表層DO較高(9.7 mg/L)支持氨氧化菌活性,與古菌豐度峰值(87.99%)空間匹配。
意義:直接關聯物理(DO梯度)、化學(NH??-N轉化)、生物(古菌功能)過程,闡明藻殘體礦化-氨氧化-氮再生的完整路徑。
核心價值:Unisense電極提供毫米級分辨率原位數據,克服傳統破壞性采樣的混合效應,精準捕捉沉積物微界面的氧化還原躍變(如氧化層厚度<5 mm),為"地下水輸入-厭氧代謝-磷釋放"和"藻殘體礦化-需氧氨氧化"兩條關鍵機制提供直接證據。