熱線:021-66110810,66110819
手機:13564362870

熱線:021-66110810,66110819
手機:13564362870
Metabolic plasticity drives mismatches in physiological traits between prey and predator
代謝可塑性導致獵物和捕食者之間的生理特征不匹配
來源:Communications Biology | (2024) 7:653
1. 摘要核心內容
論文揭示了代謝可塑性(metabolic plasticity)如何通過改變捕食者與獵物的生理性狀匹配度,進而影響二者在氣候變暖下的相互作用。通過測量三種水生昆蟲幼蟲在自然溫度梯度下的呼吸速率,結合機制模型預測發現:
物種特異的代謝可塑性導致其運動速度的溫度依賴性出現錯配(mismatch);
這種錯配改變了捕食者的搜索效率,最終影響生態互作強度。
2. 研究目的
探究溫度升高如何通過代謝可塑性改變捕食者-獵物動態,具體包括:
量化三類物種呼吸速率的熱性能曲線(TPC)在溫度梯度下的變化;
預測代謝可塑性導致的運動速度錯配如何影響捕食搜索率;
評估氣候變暖對水生食物網的潛在級聯效應。
3. 研究思路
采用 "代謝-運動-互作" 多尺度機制模型:
野外數據采集:在伊比利亞半島3個溫度梯度站點(Toledo, Porto, évora)的中宇宙(mesocosm)系統中,測量昆蟲幼蟲的呼吸速率(圖2);

模型構建:
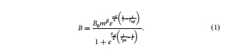
用 Sharpe-Schoolfield方程(公式1)擬合呼吸速率的TPC參數(基線性能 B0、活化能 E 等)(圖3);


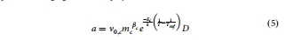
通過能量分配模型(公式2)將呼吸速率轉化為運動速度(圖4);

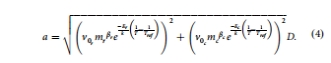
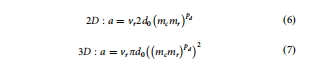
結合空間維度模型(公式4-7)預測捕食搜索率(圖5);



驗證預測:對比不同溫度站點間參數變化,分析代謝可塑性導致的性狀錯配。

4. 測量數據及意義
測量內容 數據來源 研究意義
呼吸速率(O?消耗率) 圖2、表S2 核心代謝指標,反映溫度對能量分配的影響,直接驅動后續運動與互作模型
TPC參數(B0, E) 圖3 量化物種對溫度的適應策略(如基線性能升降、熱敏感性變化)
預測運動速度 圖4 揭示捕食者-獵物運動能力錯配程度(如搖蚊幼蟲速度下降導致更易被捕食)
預測捕食搜索率 圖5 評估溫度對互作強度的直接影響(如變暖增加蜻蜓對搖蚊的捕食效率)
5. 關鍵結論
代謝可塑性具物種特異性:
搖蚊(Chironomus spp.)在溫暖位點下調代謝(B0 降低;圖3a),運動速度下降;
蜻蜓(S. striolatum)和蜉蝣(C. dipterum)在溫暖位點上調代謝(B0升高;圖3a),運動能力增強。
性狀錯配改變互作:
蜻蜓-搖蚊組合:變暖加劇運動速度錯配 → 蜻蜓搜索率顯著升高(圖5),搖蚊被捕食風險增加;
蜻蜓-蜉蝣組合:運動速度同步變化 → 搜索率基本不變(圖4d-f)。
生態啟示:
氣候變暖可能通過代謝錯配重構食物網(如搖蚊減少影響底棲-水體能量傳遞);
機制模型可高效預測氣候威脅(如篩選易危物種:搖蚊 > 蜉蝣)。
6. Unisense微電極測量數據的詳細解讀
測量方法(Methods部分)
技術:使用丹麥Unisense MicroResp微電極系統,實時監測密封小室(0.75–2 mL)中的溶解氧濃度變化。
流程:
個體在控溫水浴中急性暴露于10–45°C(5°C間隔);
電極每1秒記錄氧濃度,通過線性回歸斜率計算呼吸速率;
設置空白對照(無生物水體)校正微生物耗氧背景值。
研究意義
高精度生理響應:
微電極系統可檢測納摩爾級氧變化,精準捕捉小型水生昆蟲的微弱呼吸信號(如蜉蝣幼蟲);
實現寬溫度范圍(10–45°C) 的連續測量,完整覆蓋TPC的上升與下降支(圖2)。
支撐機制模型可靠性:
呼吸數據直接驅動運動速度模型(公式2:v∝B),影響錯配程度預測(圖4);
例如:搖蚊在évora(溫暖點)的呼吸速率顯著低于Toledo(涼爽點)(圖2a),解釋其速度下降的生理基礎。
揭示代謝適應策略:
數據驗證了"代謝補償"(metabolic compensation) 現象:搖蚊通過下調代謝節省能量(圖3a),而蜻蜓/蜉蝣提升代謝支持高溫活動(圖2b,c);
為"熱生態位寬度權衡"假說提供證據:蜉蝣 E 值降低(圖3b)表明其以熱敏感性換取高溫性能。
技術優勢
最小化脅迫:短時測量(<70% O?消耗)與磁力攪拌設計減少動物應激;
環境相關性:使用原位中宇宙水體,保留自然微生物與化學背景。
總結
該研究通過Unisense微電極的高分辨率呼吸測量,結合機制模型,首次在自然梯度下證明代謝可塑性是氣候驅動種間互作變化的關鍵樞紐。成果為預測水生生態系統對變暖的響應提供了可推廣的框架(如公式4-7的搜索率模型),并強調需關注易危類群(如底棲搖蚊)的代謝適應極限。