熱線:021-66110810,66110819
手機:13564362870

熱線:021-66110810,66110819
手機:13564362870
Respiration of Dominant Copepods Measured with Oxygen Microsensors in Garolin Bay, Yellow Sea of Korea
用氧微傳感器測量韓國黃海 Garolim 灣優勢橈足類的呼吸
來源:Journal of Coastal Research, Special Issue No. 116, pp.31-35
《海岸研究雜志》特刊第116期,31-35頁
摘要內容
研究于2014年10月至2015年6月在韓國Garolim灣進行,測量了四種優勢橈足類(Acartia hongi、Calanus sinicus、Labidocera euchaeta、Paracalanus parvus sensu lato)的呼吸速率,使用克拉克型氧微傳感器。個體呼吸速率范圍為0.003-0.366μL O?/個體/小時,體重特異性呼吸速率(WSRRs)為0.623-7.789μL O?/個體/毫克干重/小時。結果表明,大型橈足類呼吸速率較低,小型物種呼吸速率相近;呼吸速率與海水溫度和體重呈正相關,可通過溫度和體重函數表達。研究驗證了微傳感器技術在代謝研究和缺氧影響評估中的應用潛力。
研究目的
測定黃海Garolim灣優勢橈足類的呼吸速率;
比較氧微傳感器與其他方法的測量結果;
探討溫度和體重對呼吸速率的影響;
驗證微傳感器技術在代謝研究及缺氧效應評估中的適用性。
研究思路
采樣與實驗設計:在Garolim灣進行月度采樣,記錄溫度、鹽度、葉綠素a濃度及橈足類豐度(圖3、4);


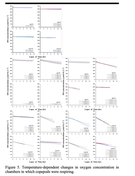
呼吸速率測量:使用Unisense四通道微呼吸系統,在控溫條件下測量個體呼吸速率(圖2、5);


數據分析:通過回歸模型分析呼吸速率與溫度、體重的關系,并與歷史數據對比(表1);

生態意義評估:探討代謝數據對群落結構、碳循環及低氧脅迫研究的價值。
測量數據及意義(來源圖表)
環境參數:溫度(4.0-17.3°C)、鹽度(~31.8 psu)、葉綠素a濃度(0.7-3.3μg/L)——圖3A-C;
橈足類豐度:優勢種占比(如Acartia hongi占75%)及季節性變化——圖3D、4;
呼吸速率:個體呼吸速率(0.003-0.366μL O?/個體/小時)、WSRRs(0.623-7.789μL O?/個體/毫克干重/小時)——圖6、7;

模型參數:呼吸速率與溫度、體重的回歸方程(R2=0.73)——正文公式。
研究意義
個體代謝差異:揭示不同體型橈足類的能量消耗模式,為群落結構動態提供依據;
溫度依賴性:量化呼吸速率隨溫度升高的變化,預測氣候變化對海洋生態系統的影響;
技術驗證:證明氧微傳感器適用于小型浮游動物的高靈敏度測量,支持低氧環境研究。
結論
呼吸速率與溫度、體重顯著正相關,符合異速生長規律;
微傳感器法數據與歷史研究一致,驗證其可靠性;
該技術可應用于代謝研究、群落功能分析及低氧脅迫評估。
Unisense電極測量數據的研究意義詳細解讀
高靈敏度與精確性:Unisense微電極能檢測納升級別溶氧變化,適用于小型個體(如橈足類)的呼吸測量,避免傳統方法(如Winkler滴定)因樣本量需求大導致的誤差;
個體水平研究:支持單個體連續監測(4-12小時),揭示種內變異(如不同發育階段或性別差異),而群體測量可能掩蓋個體響應;
實時動態監測:連續記錄溶氧變化(圖5),捕捉溫度瞬時效應,優于終點法;
低氧研究適用性:在模擬原位低氧條件時,可精確測定代謝臨界閾值,為評估缺氧對浮游動物的影響提供直接數據;
跨物種可比性:標準化測量流程使不同研究的數據可比(表1),促進全球代謝數據庫構建。