熱線:021-66110810,66110819
手機:13564362870

熱線:021-66110810,66110819
手機:13564362870
Denitrification, anammox, and DNRA in oligotrophic continental shelf sediments
寡營養大陸架沉積物中的反硝化、厭氧氨氧化和DNRA
來源:Limnology and Oceanography
湖沼學與海洋學
摘要內容
該研究聚焦新西蘭東北部寡營養大陸架沉積物的氮循環過程,發現反硝化是主要氮去除途徑(65–284 μmol N m?2 d?1),厭氧氨氧化貢獻較?。?–19%),DNRA幾乎可忽略。研究結合微生物群落分析,發現變形菌門(Proteobacteria)和浮霉菌門(Planctomycetota)是驅動反硝化的關鍵類群,反硝化速率與氧滲透深度負相關,與宏體動物豐度正相關。全球數據對比顯示,傳統高估了大陸架脫氮作用(原估20%海洋脫氮,修正為53.5±8.1 Tg N yr?1),主因采樣偏向北半球富營養化區域。
研究目的
量化寡營養大陸架沉積物中氮循環過程(反硝化、厭氧氨氧化、DNRA)的速率。
解析氮循環的微生物驅動因子及環境調控機制。
重新評估全球大陸架沉積物的脫氮貢獻,揭示采樣偏差對估算的影響。
研究思路
野外采樣:在新西蘭東北部大陸架7個站點采集沉積物和水樣,覆蓋30–128米深度梯度。
實驗室培養:使用修訂同位素配對技術(r-IPT)測定反硝化、厭氧氨氧化和DNRA速率。
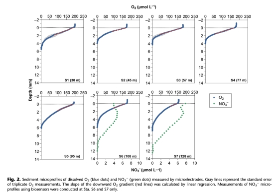
微剖面分析:使用丹麥Unisense微電極測量沉積物O?和NOx?剖面,計算氧滲透深度(OPD)和擴散速率。
微生物分析:16S rRNA測序揭示微生物群落組成。
環境參數:測定孔隙度、葉綠素a、C/N比、宏體動物豐度等。
數據整合:結合全球已發表數據,重新估算大陸架脫氮通量。
測量數據及來源
反硝化、厭氧氨氧化、DNRA速率(圖3a, 3b, 3c;表2):通過r-IPT和缺氧泥漿培養實驗測得。


微生物群落組成(圖5a, 5b):16S rRNA測序揭示優勢菌群。

O?和NOx?微剖面(圖2):Unisense微電極測定,計算OPD和DOU(擴散氧吸收)。

環境參數(表1):包括溫度、鹽度、營養鹽濃度、C/N比、孔隙度等。

數據的研究意義
反硝化速率與OPD負相關(圖4a):表明有機質質量(通過OPD反映)是反硝化的關鍵調控因子。

宏體動物豐度促進反硝化(圖4c):揭示生物擾動通過改變氧化還原條件增強氮去除。
微生物群落特征(圖5):變形菌門和浮霉菌門主導,關聯反硝化功能基因分布。
全球對比(圖6, 7):修正傳統高估,強調南半球寡營養區數據缺失對全球評估的影響。


結論
反硝化是寡營養大陸架主要氮去除途徑,厭氧氨氧化貢獻低,DNRA不顯著。
沉積物氧滲透深度(OPD)和宏體動物豐度是反硝化的核心調控因子。
全球大陸架脫氮速率(53.5 Tg N yr?1)僅為海洋總脫氮的20%,需重視南半球數據缺失。
氣候變化可能減少寡營養系統氮去除能力,增加氮滯留風險。
丹麥Unisense電極數據的意義
使用Unisense微電極測量的O?和NOx?微剖面(圖2)關鍵作用如下:
氧滲透深度(OPD):直接反映沉積物氧化層厚度,淺OPD指示高有機質活性,促進反硝化(因缺氧區更接近表層)。
擴散氧吸收(DOU):結合孔隙度和濃度梯度計算,量化沉積物-水界面氧交換,關聯總氧消耗(TOU)與生物擾動強度(TOU/DOU比)。
NOx?分布:揭示硝化-反硝化耦合程度,例如S6站點的NOx?峰出現在O?未耗盡的區域(3 mm深度),表明硝化作用活躍并為反硝化提供底物。
這些數據為解析氮循環的氧化還原驅動機制提供了高分辨率空間信息,是理解反硝化與有機質礦化、微生物活動耦合的關鍵依據。