熱線:021-66110810,66110819
手機:13564362870

熱線:021-66110810,66110819
手機:13564362870
Infaunal invertebrate community relationships to water column and sediment abiotic conditions
底棲無脊椎動物群落與水體及沉積物非生物條件的關系
來源:Marine Biology
海洋生物學
摘要內容:
該研究探討了水體(如鹽度、溫度)和沉積物(如粒度、碳酸鹽化學參數)的非生物條件對潮間帶底棲無脊椎動物群落及雙殼類幼體豐度的影響。研究區域位于加拿大新不倫瑞克省的兩個海洋環境差異顯著的區域——芬迪灣(高潮差)和圣勞倫斯灣南部(低潮差)。通過2020-2021年的數據,采用多變量和單變量統計模型分析發現,碳酸鹽化學參數(沉積物pH、水體/沉積物堿度)是解釋底棲群落組成和生物指標(物種豐富度、總豐度、雙殼類豐度)的重要驅動因素。在芬迪灣,沉積物pH解釋了16.9%的群落變異,而在圣勞倫斯灣南部,鹽度是主要驅動因素(9.8%)。研究指出,未來海洋酸化可能通過改變碳酸鹽化學條件(如pH和堿度)顯著影響底棲生物群落。
研究目的:
確定鹽度、沉積物特性(粒度、分選性)及水體/沉積物碳酸鹽化學參數如何影響潮間帶底棲無脊椎動物群落和雙殼類幼體豐度,并評估氣候變化對這些生物群落的潛在影響。
研究思路:
選擇兩個海洋環境差異顯著的區域(芬迪灣和圣勞倫斯灣南部)。
在2020-2021年進行季節性采樣,收集水體和沉積物的非生物參數(鹽度、溫度、pH、堿度、粒度等)及底棲生物樣本。
使用多變量分析(PERMANOVA、DISTLM)和廣義線性混合模型(GLMM)分析非生物變量對群落組成及生物指標的影響。
結合時空變化(站點和采樣日期)評估區域差異。
測量的數據:
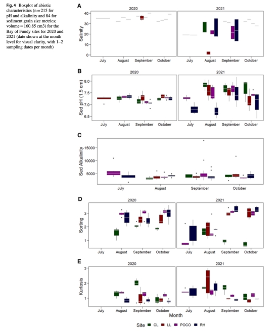
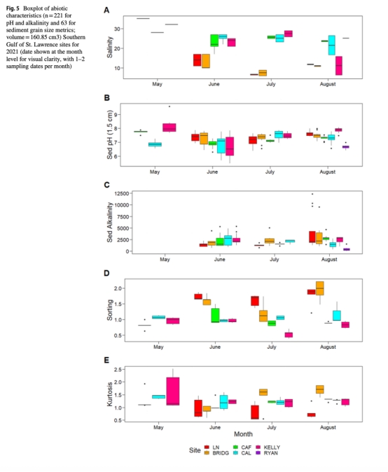
水體參數:鹽度、溫度、pH、堿度(圖4、5、6,表3)。




沉積物參數:
碳酸鹽化學:沉積物pH剖面(0-3 cm深度)、沉積物堿度(圖4、5,表3)。
物理特性:粒度(平均粒徑、分選性、峰度、偏度)、有機質含量、碳酸鹽含量(圖4、5,表3)。
生物數據:底棲無脊椎動物群落組成(物種豐富度、總豐度、雙殼類幼體豐度)(圖2、3,表1-2)。




數據的研究意義:
水體堿度和沉積物pH是解釋底棲群落變異的關鍵參數,表明碳酸鹽化學對底棲生物的重要性(圖4、5,表3)。
鹽度和沉積物粒度分選性在圣勞倫斯灣南部影響顯著,反映了區域環境差異對生物分布的調控(圖5,表4)。

雙殼類幼體豐度與水體堿度呈負相關,提示其可能對碳酸鹽化學變化敏感(圖7)。

結論:
碳酸鹽化學參數(沉積物pH、水體/沉積物堿度)是底棲群落的主要驅動因素,尤其在芬迪灣影響顯著。
區域差異顯著:芬迪灣以沉積物pH為主導,圣勞倫斯灣南部以鹽度為主導。
底棲群落對碳酸鹽化學的敏感性表明,未來海洋酸化可能通過改變pH和堿度影響生態系統功能。
雙殼類幼體豐度與碳酸鹽化學的關聯性突出其作為氣候變化敏感指示物種的潛力。
丹麥Unisense電極測量數據的意義:
使用Unisense微電極(pH-500)測量沉積物pH剖面(0-3 cm深度,0.5 cm間隔),其高分辨率數據揭示了沉積物內部化學環境的垂直異質性。這種高精度測量能捕捉到沉積物-水界面附近的微環境變化,例如:
酸化熱點檢測:在芬迪灣站點RH,沉積物pH在2021年顯著下降(圖4),可能與微生物活動或有機質分解導致的局部酸化相關。
生物地球化學關聯:沉積物pH與堿度的組合分析(圖4)表明,pH變化與碳酸鹽溶解/沉淀過程相關,影響底棲生物的鈣化能力(如雙殼類幼體)。
生態意義:沉積物pH在芬迪灣解釋了16.9%的群落變異(表4),證實其對底棲生物分布的直接調控作用,尤其是對pH敏感物種(如多毛類Tubificoides benedii)的豐度影響顯著。
這些數據為理解沉積物微環境對底棲生物的生理脅迫(如酸化)提供了關鍵證據,并為預測未來海洋酸化對潮間帶生態系統的沖擊奠定了基礎。