熱線:021-66110810,66110819
手機:13564362870

熱線:021-66110810,66110819
手機:13564362870
將UCNPs與四甲基羅丹明(TAMRA)標記的ATP適配體(cATP),組成熒光共振能量轉移(FRET)體系,以碲化鎘量子點(CdTe QDs)作為光電活性材料,共同修飾于微電極表面,構建可近紅外激發的ATP光電化學微傳感器。該PEC微傳感器已成功應用于藥物誘導的炎癥小鼠模型中腦內ATP的活體原位檢測。
FRET調控光電流信號的可行性
將光電材料和UCNPs組成的熒光探針依次修飾到微電極上,并測試了不同修飾電極的光電流響應。由于CdTe QDs-MWCNTs在980 nm波長處的吸收很弱,因此在980 nm的近紅外光的激發下,只有CdTe QDs-MWCNTs修飾微電極表現出微小的光電流信號(圖1曲線a)。當CdTe QDs-MWCNTs和UCNPs共同修飾到微電極表面后,UCNPs/CdTe QDs-MWCNTs/微電極在含有200μmol/L AA的aCSF中表現出最強的光電流信號,為315.2 nA(圖1曲線b),說明UCNPs的發光能夠有效激發CdTe QDs并產生光電流信號。修飾cDNA后,cDNA/UCNPs/CdTe QDs-MWCNTs/微電極的光電流略微減小,為285.3 nA(圖1曲線c),表明cDNA在電極表面的成功修飾。將TAMRA-cATP修飾到UCNPs后,由于TAMRA對UCNPs發光的猝滅作用,TAMRA-cATP/cDNA/UCNPs/CdTe QDs-MWCNTs/微電極的光電流顯著降低,為91.3 nA(圖1曲線d)。TAMRA-cATP/cDNA/UCNPs/CdTe QDs-MWCNTs/微電極與ATP(80 nmol/L)反應后,光電流明顯增強,為185.5 nA(圖1曲線e)。以上實驗結果表明,ATP與適配體之間的特異性結合能夠引起光電流信號的改變。
圖1不同修飾電極的光電流大小:(a)CdTe QDs-MWCNTs/微電極;(b)UCNPs/CdTe QDs-MWCNTs/微電極;(c)cDNA/UCNPs/CdTe QDs-MWCNTs/微電極;(d)TAMRA-cATP/cDNA/UCNPs/CdTe QDs-MWCNTs/微電極;(e)TAMRA-cATP/cDNA/UCNPs/CdTe QDs-MWCNTs/微電極與ATP反應后
傳感器對ATP的響應研究
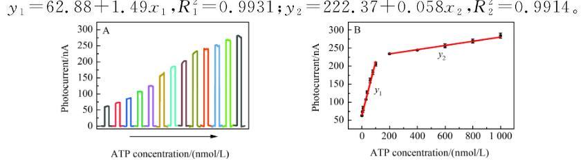
圖2(A)微傳感器與不同標準濃度ATP反應后的光電流響應;(B)光電流大小與ATP濃度之間的線性關系
傳感器的選擇性研究
由于活體環境復雜,傳感器的選擇性對活體分析十分重要。因此,我們考察了活體生物環境中共存的一些結構類似物、陰陽離子和氨基酸等物質對微傳感器的影響。共存物質對微傳感器的光電流信號基本沒有影響或者影響較小,當加入ATP時,光電流顯著增加,說明該微傳感器對ATP具有很高的特異性。
LPS的注射量對ATP含量的影響
LPS是一種常見的內毒素,可以誘導小鼠全身性炎癥,我們通過腹腔注射LPS建立小鼠全身性炎癥模型,并用制備的微電極活體原位檢測小鼠腦內細胞間質中ATP的水平變化。我們首先研究了不同LPS注射量對小鼠皮質內ATP水平的影響。腹腔分別注射3 mg/kg、5 mg/kg、7 mg/kg時,光電流分別為35.1 nA、47.0 nA、59.1 nA。相比于對照組(0 mg/kg)光電流信號分別增加了95.0%、161.1%、228.3%。實驗結果表明LPS誘導的炎癥會引起腦內ATP水平的顯著升高,并且ATP水平會隨著LPS濃度的增加而進一步升高,說明大腦向胞外釋放ATP是應對炎癥的方式之一。
2.8炎癥時間對ATP濃度的影響研究
我們將制備的微電極用于LPS誘導的全身炎癥小鼠模型中,活體原位檢測不同時間點腦內ATP的含量變化,研究了藥物誘導時間與腦內細胞間質中ATP水平變化的關系。在2~6 h內,光電流信號隨著LPS注射時間的增加而增大,在LPS注射6 h時,光電流信號達到峰值(47.2 nA),之后(6~24 h內)基本保持不變。實驗結果表明:LPS誘導的炎癥會引起腦內ATP含量的增加,并且隨著藥物誘導時間的推移,ATP的釋放進一步增加,在6 h后達到峰值,并且在24 h內一直維持在高位,說明炎癥持續時間較長。