熱線:021-66110810,66110819
手機:13564362870

熱線:021-66110810,66110819
手機:13564362870
結果
CAW對土壤微生物生物量的影響
與對照(204.4 mg kg?1)相比,向蘋果根區(qū)土壤施用5、10、20和40 g kg?1CAW導致土壤MBC顯著增加(分別為19%、20%、21%和22%)。施用5和10 g kg?1CAW時,土壤MBN和MBP顯著增加,但施用40 g kg?1時與對照相比無顯著差異。施用5 g kg?1CAW處理時,土壤MBN和MBP的增加分別為4%和78%,施用10 g kg?1CAW后分別為6%和284%。施用10 g kg?1CAW改良后,土壤MBC、MBN和MBP均顯著增加。
MBC,微生物生物量碳; MBN,微生物生物量氮; MBP,微生物生物量磷; CAW,碳化蘋果木; C0,對照; C5,5 g kg?1CAW; C10,10 g kg?1CAW; C20,20 g kg?1CAW; C40,40 g kg?1CAW。同時給出了這些處理間的最小顯著差異(LSD)(P<0.05)和標準誤(SE),n=3。
蘋果根區(qū)土壤氮轉化功能基因拷貝數的定量分析
qPCR證實所有樣品中均存在厭氧氨氧化基因,其豐度為1.0-2.5 x 10?基因拷貝g?1干土。方差分析(ANOVA)顯示,對照與CAW改良土壤(5、10和40 g kg?1CAW)之間的厭氧氨氧化基因豐度無顯著差異,而在20 g kg?1CAW處理下基因豐度顯著降低。
通過測定古菌和細菌amoA基因拷貝數來量化AOA和AOB的豐度。蘋果根區(qū)土壤中AOA和AOB amoA基因的豐度范圍分別為2.6 x 10?至7.6 x 10?和6.8 x 10?至1.3 x 10?基因拷貝g?1干土。與對照相比,AOA amoA基因豐度隨著CAW施用比例的增加而逐漸降低,而AOB amoA基因豐度并未隨CAW比例增加而顯著增加,但在施用40 g kg?1CAW后有所提高。
通過測定蘋果根區(qū)土壤中nirS和nirK基因的豐度來量化NO??還原細菌。蘋果根區(qū)土壤中nirS基因拷貝數(3.7-7.7 x 10?拷貝g?1干土)比nirK基因拷貝數(1.8-5.0 x 10?拷貝g?1干土)高一個數量級。施用不同比例的CAW后,根區(qū)土壤中nirS和nirK基因的豐度有不同程度的下降。然而,ANOVA顯示,對照與20和40 g kg?1CAW處理之間的nirS基因豐度無顯著差異,對照與10 g kg?1CAW處理之間的nirK基因豐度也無顯著差異。
CAW對蘋果根區(qū)土壤NR和NiR活性及氮形態(tài)的影響
土壤NR和NiR活性在施用不同比例(0-40 g kg?1)CAW后表現出不同的趨勢。土壤NR活性在10 g kg?1CAW處理下增加,在40 g kg?1處理下降低。土壤NiR活性隨CAW改良而降低,在10 g kg?1CAW施用后記錄到最小的活性(P<0.01)。
施用不同比例CAW后,土壤氮形態(tài)的含量存在顯著差異。施用5、10和20 g kg?1CAW顯著降低了土壤NO??-N含量,且在10 g kg?1CAW處理下最小。相反,施用5和10 g kg?1CAW后,土壤NO??-N含量顯著增加;然而,0和20 g kg?1CAW處理之間的土壤NO??-N含量無顯著差異。此外,與對照相比,5 g kg?1CAW處理導致土壤NH??-N含量顯著降低,而10和20 g kg?1CAW處理顯著增加了土壤NH??-N含量。
NR,硝酸還原酶; NiR,亞硝酸還原酶; NO??-N,土壤硝態(tài)氮含量; NO??-N,土壤亞硝態(tài)氮含量; NH??-N,土壤銨態(tài)氮含量; CAW,碳化蘋果木; C0,對照; C5,5 g kg?1; C10,10 g kg?1; C20,20 g kg?1; C40,40 g kg?1。數據是三個獨立土壤樣品的三次測量的平均值。同時給出了這些處理間的最小顯著差異(LSD)(P<0.05)和標準誤(SE),n=3。
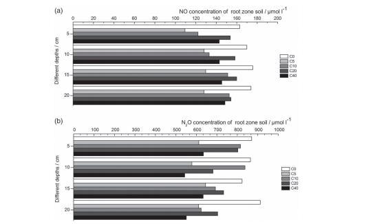
CAW對蘋果根區(qū)土壤NO和N?O濃度的影響
5-20厘米土層的原位NO濃度測量顯示,與對照(170.6μmol l?1)相比,施用CAW(分別為5、10、20和40 g kg?1CAW)后NO含量顯著降低(分別為123.8、139.7、156.5和144.9μmol l?1);平均降低8-27%。類似地,與對照相比,施用5、10、20和40 g kg?1CAW后,CAW改良使N?O濃度分別顯著降低了30%以上、14%、16%和32%。此外,CAW處理也影響了蘋果根區(qū)土壤不同深度的N?O濃度。
使用Pearson相關系數來識別不同比例CAW施用后土壤特性與氮轉化功能基因之間的關系。AOA amoA基因拷貝數與土壤MBN(r=-0.588,P<0.05)和NO??-N(r=-0.838,P<0.01)呈負相關,而AOB amoA基因拷貝數與土壤MBC(r=0.546,P<0.05)呈正相關,與土壤NO??-N(r=-0.524,P<0.05)呈負相關。nirS基因拷貝數與土壤MBN和NO??-N呈負相關(分別為r=-0.651和-0.933,P<0.01)。平均土壤NO濃度與AOA amoA和nirS基因的豐度呈正相關(分別為r=0.820和0.796,P<0.01),平均N?O含量與AOA amoA基因豐度呈正相關(r=0.536,P<0.05)。NR和NiR活性與土壤特性之間沒有顯著相關性。
基于相關程度,選擇CAW改良后的土壤變量進行RDA,并匯總功能基因豐度。選定的土壤變量為MBC、MBN、MBP、NO??-N、NO??-N、NH??-N、NO和N?O。表S6(支持信息)給出了RDA前四個軸的特征值,按大小降序排列。前兩個軸分別解釋了基因豐度變異的79.2%和12.9%。RDA雙標圖表明,土壤特性的差異影響了CAW施用下氮轉化微生物功能基因的豐度。圖4(a)中紅色箭頭的長度表示每個土壤因子在解釋功能基因豐度方面的相對重要性,而箭頭之間的角度表示它們相關的程度。土壤NO??-N和NO與RD1關系密切,分別在該軸上具有最大正值和負值(分別為0.9632和-0.7954),而土壤MBC和NO??-N在RD2上分別具有最大正值和負值(分別為0.3976和-0.3890)。
相關新聞