熱線:021-66110810,66110819
手機:13564362870

熱線:021-66110810,66110819
手機:13564362870
采用微米級和毫米級傳感器,首次對自然對流驅動的聚合物電解質膜燃料電池(PEMFC)平面水平陰極上方傳質層中的溫度、氧分壓和相對濕度的空間和時間分布進行了實驗測量。傳感器提供了約1毫米(或更好)的空間分辨率和1秒的時間分辨率。在電流-電壓(I-V)掃描過程中,觀察到隨著電流密度的增加,溫度和反應物種濃度發生顯著變化。觀察到氧分壓線性下降,水蒸氣分壓線性增加,這與通量平衡分析一致。垂直于表面的空間分辨剖面表明,熱和反應物種的梯度延伸至水平陰極表面上方達6毫米?;パa的水平剖面(平行于表面)顯示,電池的陰極肋結構明顯影響氧氣分布。最重要的是,這些數據表明,熱和物種濃度效應并不局限于氣體擴散層(GDL),而是延伸到陰極表面以外的周圍空間。測量結果用于估算陰極表面上方的擴散和/或對流傳質系數。瞬態數據揭示了與氧氣、水和熱傳輸相關的時間常數存在顯著差異。本研究提供的見解對于指導和驗證未來自呼吸燃料電池系統的物理模型應具有重要價值。
被動式自呼吸燃料電池依靠自然對流從陰極表面輸送氧化劑并去除水和熱量。在運行過程中,熱量和水的產生以及氧氣的消耗導致陰極表面上方的溫度和濃度梯度。這些梯度引起空氣密度的變化,從而驅動自然對流過程。盡管這些耦合的質量和熱量傳遞過程在決定性能方面起著關鍵作用,但在被動式自呼吸燃料電池系統的背景下尚未得到仔細研究。
非均勻溫度和濃度效應已在強制流燃料電池的背景下通過多種原位探測技術進行了一定程度的研究。例如,最近有幾個小組報道了在強制流單電池和電堆中監測溫度和物種分布的空間和/或時間變化方面的進展。Mench等人采用了一個多端口、分段、蛇形流道電池,與氣相色譜儀(GC)連接,可以在燃料電池運行期間原位確定溫度、水蒸氣、氮氣、氧氣和電流密度的分布。他們系統的時間分辨率受限于GC的2分鐘分析時間,而空間分辨率受限于物種提取口的間距,這些口位于固定位置,相距約1.2厘米。最近,一個由橡樹嶺國家實驗室的T.J.McIntyre等人組成的能源部項目小組開發了自由空間微探針和單片集成光纖傳感器,用于監測運行中燃料電池電堆內的溫度和物種的空間和時間分布。由于水動力學在大多數聚合物電解質膜燃料電池(PEMFC)設計中尤為重要,大量的努力也投入到中子成像、磁共振成像和光學透明電池中,以對運行中PEMFC內水的產生和分布進行成像。與強制流燃料電池相比,平面自呼吸燃料電池提供了難得的機會來接觸陰極表面。這種開放式架構為獲取陰極表面附近自由對流傳質過程的詳細、高分辨率信息提供了獨特的機會。
本文中,我們采用微米級和毫米級的溫度、氧氣和濕度傳感器,測量自然對流驅動的平面水平PEM燃料電池陰極正上方傳質層中溫度、氧分壓和相對濕度(RH)的空間和時間分布。通過將電池安裝在光學XYZ平移臺上獲得空間分辨的溫度和物種剖面。演示了小于1毫米的空間分辨率;這主要受限于測量不確定性和微傳感器的物理尺寸。秒量級的時間分辨率很容易實現;這主要受限于微傳感器的響應時間。這些空間和時間測量首次實驗性地量化了自呼吸燃料電池陰極的擴散層厚度、時間常數和傳遞系數。結果揭示了支配被動式自呼吸燃料電池行為的過程,為新的診斷測試程序提供了基礎,并為未來自呼吸燃料電池的設計提供了方向。
實驗部分
在本節中,我們介紹平面燃料電池設計的細節以及用于同時記錄電流、電壓、溫度、氧氣和相對濕度數據的設置。我們還描述了Z(垂直)和Y(水平)空間剖面掃描程序;瞬態(時間)測量方法;以及校正氧氣和RH微傳感器讀數所需的溫度校正方法。
電池硬件—這些研究中使用的燃料電池組裝體已在別處詳細描述,此處僅簡要總結。系統的外部尺寸為7厘米×7厘米×1厘米。氫氣流道室是一個Delrin加工的背板,帶有兩個氫氣分布通道(每個寬5毫米,深5毫米,長3厘米)。我們使用印刷電路板(PCB)陽極結構,其具有1.5毫米寬的平行流道,間距1.5毫米。我們使用基于Nafion 112的自加濕五層膜電極組件(MEA)(BCS Fuel Cells Inc,Bryan,Texas),活性面積為3厘米×3厘米,陰極催化劑負載為3 mg/cm2,陽極為0.5 mg/cm2。一塊150微米厚的316L不銹鋼片,鍍有10微米鎳和1微米金,用作陰極集流體。不銹鋼片上有一個蝕刻的圓形開孔陣列,孔徑為150微米,便于水和氧氣通過集流體傳輸。陰極的頂層是一個剛性PCB上部結構,帶有11條平行的肋,寬1.5毫米,間距1.5毫米(中心到中心距離為3毫米)。我們在PCB上部結構上沉積了66微米銅、10微米鎳和1微米金,以改善導電性并抑制腐蝕。八個螺栓將組裝體固定在一起,每個螺栓的扭矩為1 N·m。放置在各層之間的硅橡膠墊圈用于密封陽極室并提供最佳的MEA壓縮。
氧氣微傳感器—使用微型Clark型電化學傳感器(Unisense OX25,毛細管尖端半徑約25微米)測量氧分壓,該傳感器由嵌入管狀玻璃體中的三個電極組成,一端有一個細毛細管。傳感器電極連接到電流放大器(Unisense,PA2000 picoammeter),將皮安級的傳感器電流轉換為直流電壓。
由于傳感器電流對溫度有很強的依賴性,傳感器讀數進行了溫度校正。溫度使用未護套的細規格K型熱電偶(CHAL-005,Omega Engineering,Inc.,直徑約125微米)測量,該熱電偶與毛細管探針并置。溫度補償程序假設熱電偶測得的溫度與氧氣探針所經歷的溫度相同??紤]到兩個探針尺寸小且距離近(中心到中心距離小于半毫米),對于本文呈現的大多數熱梯度條件,這個假設是非常合理的。
Clark型電化學氧氣傳感器測量的是氧氣擴散通過一層薄的氧選擇性膜發生電化學還原所產生的電流。由于傳感器在氧氣擴散限制下運行,輸出信號隨氧氣濃度增加而線性增加。然而,由于擴散是溫度激活過程,信號隨溫度升高呈指數增長。通常,傳感器產生的信號S可以描述如下:
S(PO2,T)=Z+PO2AekT
其中Po2是氧分壓,T是傳感器尖端溫度,Z是零氧分壓下的傳感器電流,A和k是描述傳感器溫度依賴性的擬合常數。零電流Z可以通過將傳感器暴露于零氧環境(例如,暴露于純氮氣氛)來提取。然后通過在已知Po2下進行一系列溫度測量來確定擬合常數A和k。這種溫度校正程序在實驗研究的溫度范圍內是穩健可靠的。
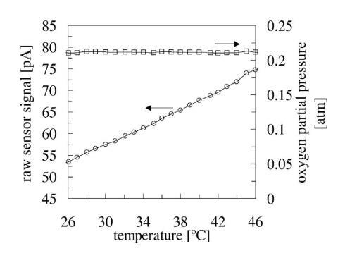
例如,圖1展示了在空氣(PO2=0.21 atm)中從室溫加熱到46°C時,從氧氣傳感器獲取的原始數據和經過溫度校正的校準數據。氧氣微傳感器的尖端放置在熱板表面上方不到一毫米處。通過調節熱板的溫度來逐步增加尖端的溫度。氧氣微傳感器尖端的溫度使用放置在傳感器尖端附近的小型熱電偶測量。通過使用低發射率的熱板表面(鋁箔)最小化對熱電偶的輻射傳熱。盡管加熱時原始傳感器信號從52 pA增加到75 pA,但經過溫度校正的PO2值穩定在約0.21 atm(空氣的預期值)。這種情況下使用的校準值為Z=1.0,A=1.67和k=0.0167。為確保結果準確,在每次實驗運行前后都對氧氣傳感器進行溫度校準。校準參數通常會隨時間略微漂移(最大小于10%,通常小于5%)。
濕度傳感器—使用光纖傳感器系統測量相對濕度,該系統由1550 nm軸向布拉格光柵光纖應變傳感器(GACS0-01FP0100,Blue Road Research)、光學分束器(BS3DB,Blue Road Research)、1550 nm寬帶光源(HP 83437A,Hewlett-Packard)和光學頻譜分析儀(AQ6317B,Ando)組成。光纖傳感器由一端帶有聚合物涂層布拉格光柵的光纖構成。涂層光纖的直徑約為150微米,光柵長度約為3毫米。1550 nm寬帶光源光學連接到分束器的一個端口。從分束器傳輸的光被饋入帶有布拉格光柵的光纖。從濕度探針反射的光由連接到分束器輸出的光學頻譜分析儀進行分析。相對濕度讀數由布拉格光柵反射的信號頻譜的中心波長確定。中心波長通過將光柵響應曲線擬合到預定義的濾波器響應,以皮米分辨率確定。
相關新聞