熱線:021-66110810,66110819
手機:13564362870

熱線:021-66110810,66110819
手機:13564362870
過氧化氫(H2O2)等活性氧(ROS)物質因具有綠色高效的特點,在廢水處理、殺菌消毒等領域受到研究者廣泛關注。利用電催化生成H2O2是一種實時提供活性氧物質的有用方法。然而,目前報道的大多數高性能催化材料都是粉體形式,不便于在實際場景中的應用。因此,制備可直接應用的電極材料顯得尤為重要。本研究利用噴涂-熱解的制備方法,制備了高活性氧催化活性的氧化炭黑(O?CB)/多孔碳氈電極,通過聚四氟乙烯(PTFE)的修飾優化電極表面的氧氣傳質,成功制備氧摻雜碳氣體擴散電極。研究結果表明,O?CB/PTFE-5 wt%電極具有最高的催化性能,其合成H2O2的速率達27.19 mg·L–1(mg catalyst)–1·cm–1·h–1。海洋典型污損微生物假單胞菌(sp.)的抗菌實驗表明,該電極電催化作用60 min產生的活性氧對sp.的殺菌率可達到97.69%,作用120 min的殺菌率可達到99.99%。
隨著我國海洋強國的建設和海洋經濟的發展,海洋中各類工程設施(海洋平臺、海水管路、海洋浮標等)不斷增加,當這些設施處在高生物活性的海洋環境時,海水中的微生物在短時間內就會在其表面附著形成微生物膜,隨之多細胞藻類及污損生物幼蟲附著,形成肉眼可見的生物污損。生物污損一旦形成,不僅會導致船舶航行阻力增大,增加能耗和運行成本,而且會引起海水管路堵塞、平臺載荷增加以及設施的腐蝕問題,減少工程服役壽命,造成巨大經濟損失。過去人們基于物理、化學和生物原理開發了一系列的海洋生物污損控制技術。但是,現有防污技術仍不能完全滿足對海洋環境保護的要求,研究綠色無毒的海洋污損防控技術具有重要意義。傳統電解防污方法如電解銅-鋁和電解產氯,因具備有效防污效果而廣泛應用于海上平臺、船舶及濱海電廠等場景。但釋放的有毒的銅離子或三氯甲烷等消毒副產物可能對海洋生物及生態環境產生直接或間接的影響。
電催化生成活性氧殺菌,因低能耗、高效環保,無消毒副產物等特點,成為一種非常具有應用前景的電化學防污技術。在持續通電或者周期性通電的情況下,電極材料通過電催化氧還原產生H2O2等活性氧物質,該活性氧能阻止細菌在設施表面寄生定植形成生物膜,在污損形成過程早期殺滅細菌,以進而達到防止海洋生物附著的效果,且活性氧作用后產物為氧氣和水,綠色環保,對水體無危害。
電催化劑的設計對電極的活性和選擇性而言至關重要。已報道高性能的鉑-汞、鈀-金等貴金屬基催化劑由于貴金屬稀缺,使用成本高等特點限制了他們的應用場景。與之相比,氧摻雜碳材料(oxygen-doped carbon materials)被證明在電催化氧還原反應合成H2O2中表現出良好的催化性能。與其他類型的催化劑相比,炭黑具有經濟高效、成本低、易于獲取等優點,更加利于實際應用。
過去人們更多地關注于高活性催化劑材料的制備,然而,電極結構設計方面的研究也同樣重要。相較于傳統的平面電極(如金屬箔,玻碳等),氣體擴散電極(GDE)可以使催化劑層周圍保持較高的氣體濃度,從而改善傳質過程。本文利用商用炭黑作為催化原料,并經過簡單的氧化處理方法進行改性制備氧化炭黑材料,并進一步通過兩步“噴涂-熱解”工藝將改性炭黑粉末和聚四氟乙烯粉末結合到碳氈基體上制備O?CB/PTFE氣體擴散電極,考察了該電極在0.5 mol·L-1氯化鈉溶液中H2O2的產率,初步探索了其對典型的海洋中好氧菌sp的實際抗菌效果。
1、實驗方法
1.1實驗材料與試劑
炭黑粉末(XC-72R)購買自Fuel Cell Store。碳氈購自于臺灣碳能科技。質子交換膜(Nafion N117),Nafion分散液(D520,5 wt%)采購自美國杜邦公司。聚四氟乙烯微粉(PTFE,5μm),無水硫酸鈰(99.95%)采購自上海麥克林公司。氯化鈉(AR)、氯化鉀(AR)、無水乙醇(AR)、濃硝酸(AR)、瓊脂粉、酵母提取物、磷酸氫二鈉(AR)、磷酸二氫鉀(AR)均采購自國藥集團,所有試劑均使用前未經進一步純化。
1.2 O-CB及O-CB/PTFE電極制備
1.2.1炭黑的氧化處理
將600 mg商用炭黑添加到600 mL,12.0 mol·L–1硝酸中。然后,將上述溶液在85℃溫度下水浴冷凝回流3 h。反應結束后,自然冷卻后進行離心,用水和乙醇反復清洗,直到pH值為中性。最后,將氧化炭黑(O?CB)樣品在真空干燥箱中于70℃下干燥12 h,得到氧化處理后的樣品。
1.2.2“噴涂-熱解”制備O?CB/PTFE電極
將碳氈裁剪成尺寸1.0 cm×1.5 cm,并在去離子水和乙醇中依次超聲清洗15 min后,將其在2.5 wt%的PTFE懸浮液中浸泡10 min,進行疏水化處理。將處理過的碳氈用鑷子取出,放入真空干燥箱中60℃下進行干燥,干燥后置于管式爐中,空氣條件下,360℃煅燒30 min。
取2.0 mg的O?CB催化劑,1 mL的無水乙醇制成催化劑墨水,超聲30 min后,使用5 mL微型噴槍均勻噴涂在預處理后的碳氈上。待溶液干燥后,使用噴槍分別噴涂不同比重(2.5 wt%、5 wt%、10 wt%、20 wt%)PTFE乳液,其中,PTFE乳液的體積與催化劑墨水的體積相同為1 mL。置于60℃真空箱中干燥,干燥后,在360℃下煅燒30 min,最終制備成不同PTFE修飾量的O?CB/PTFE電極(圖1)。
1.3表征測試
材料的成分和晶體結構通過在日本理學的Rigaku D/max-Ultima IV上使用Cu Kα輻射(λ=0.154 06 nm)進行廣角X射線衍射(XRD)分析來獲得。X射線光電子能譜(XPS)使用美國賽默飛世爾科技公司的Thermo Scientific K-Alpha進行測試,以Al Kα輻射源并通過C 1s峰能量為284.8 eV進行校準。樣品的形貌組成及結構信息使用美國FEI公司的FEI Quanta 250型號的掃描電子顯微鏡(SEM)和FEI Tecnai F20型號的透射電子顯微鏡(TEM)獲得。使用全自動比表面及孔隙度分析儀(Micromeritics ASAP 2460,美國)進行N2吸脫附曲線測試,以獲取材料的比表面積和孔結構信息,測試溫度為77.300 K。紫外光譜使用日本日立公司的HitachiU-3900H型號紫外可見分光光度計進行測定。接觸角的測量是通過德國Dataphysics公司的OCA20型號接觸角測量儀完成。
1.4電化學性能測試
1.4.1旋轉環盤電極(RRDE)測試
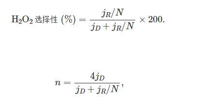
室溫下,在0.5 mol·L–1NaCl溶液中,分別以石墨電極和飽和甘汞電極作為對電極和參比電極,配制O?CB催化劑墨水,并吸取適量的催化劑滴涂到環盤電極上,等待自然干燥,作為工作電極。分別在氧氣飽和與氮氣飽和條件下,進行循環伏安(CV)測試,并在1 600 r/min轉速下進行線性掃描伏安(LSV)測試。H2O2的選擇性和轉移電子數按照如下公式進行計算:
其中,j為盤電流密度(mA·cm–2),j為環電流密度(mA·cm–2),為收集系數(0.37)。
1.4.2電催化生成H2O2含量測試
圖2吸光度與Ce(SO4)2物質的量濃度的線性關系曲線圖
1.5殺菌性能
1.5.1細菌培養
實驗使用本課題組分離獲得的菌株sp.,并由海洋微生物菌種保藏管理中心完成菌種鑒定。實驗前進行活化,接種到無菌Luria-Bertani(LB)液體培養基中,培養基成分為:酵母提取物5 g,氯化鈉5 g和胰蛋白胨10 g溶于1 000 mL二次水中,在121℃下高壓蒸汽滅菌20 min。在搖床中180 r/min進行過夜培養,培養溫度為37℃。利用涂板計數法結合測量光密度值(OD值)確定細菌濃度:首先,將培養后的菌液進行逐級濃度梯度稀釋,然后,取100μL稀釋的菌液涂板,每一個稀釋濃度涂3個平板,培養12 h。同時對初始的菌液進行OD值的測定。最后,根據每種細菌形成的平均菌落單元(cfu)和稀釋倍數,確定菌株的濃度。在進行電解實驗前,再次測定菌液OD值,對菌液濃度進行校正。將細菌培養液,4 000 r/min離心5 min,從培養液中分離出菌株。然后,使用磷酸鹽緩沖溶液(PBS)稀釋菌株,得到濃度約為107cfu·mL–1的菌液。本實驗以~107cfu·mL–1的sp.的PBS溶液進行抗菌實驗。PBS溶液的成分為:8 g氯化鈉,0.2 g氯化鉀,1.44 g磷酸氫二鈉,0.44 g磷酸二氫鉀溶于1 000 mL二次水中,調節pH到7.4,在121℃下高壓蒸汽滅菌20 min。
1.5.2殺菌測試
取30 mL約107cfu·mL–1的sp的PBS緩沖溶液作為電解質溶液。并根據1.4.2實驗的結果,進一步選取最高H2O2產量的O?CB/PTFE電極為工作電極,抗菌實驗在0.1 V vs RHE電位下進行恒電位()測試,測試時間為210 min。在0 min、15 min、30 min、60 min、120 min、150 min、200 min時間點間隔取樣,取出電解質溶液通過逐級濃度梯度稀釋并進行涂板計數。培養一定時間后對平板觀察拍照,進而計算得出殺菌率,評價殺菌效果。
相關新聞