熱線:021-66110810,66110819
手機:13564362870

熱線:021-66110810,66110819
手機:13564362870
摘要:為了研究氧化還原過程中銀電極的組成和結構的變化,將銀粉制成粉末微電極。通過對銀粉末微電極的循環伏安測試和電化學阻抗譜分析,得知反應過程中的銀電極分為內、外兩層。在不同的反應階段,確定了內、外兩層的組成和結構。
粉末微電極實際上就是多孔電極與微電極的結合。將用作電極材料的粉末填入帶微孔的鉑微電極中即制成粉末微電極。粉末微電極的端面與鉑微盤電極具有相同的表觀面積,而電極的粉層部分具有多孔電極的性質。因此相對于平面微盤電極,粉末微電極的實際有效反應表面大為提高。采用粉末微電極技術可以顯著提高電極反應的表觀電流密度和表觀可逆性。粉末微電極技術已成功地應用于電源、電催化以及生物電化學等領域的研究。
電化學阻抗譜(electrochemical impedance spectroscopy,EIS)是一種在電化學研究中應用極其廣泛的技術,不僅可以研究包括擴散、傳荷等步驟在內的電極過程【2-3],而且經常用來評價金屬或合金材料表面無機陶瓷涂層或有機涂層的結構和性能。交流阻抗技術的優點是能夠在不同的頻率段分別得到涂層的電容、電阻及涂層與基底界面的電容、電阻等有關信息。根據測量得到的EIS數據和實際體系的物理化學過程,選擇合適的等效電路模型,對電化學阻抗譜進行模擬解析,從而研究無機或有機涂層的組成和結構特性。
銀的氧化和還原是一個復雜的過程,銀從0價經過+1價氧化到+2價,再從+2價經+1價還原至0價。關于氧化還原過程中銀電極的組成和結構變化的研究還未見報道。筆者將銀粉制成粉末微電極,應用循環伏安法(cyclic voltammetry,CV)和EIS對銀粉的氧化還原過程進行研究,以確定不同反應階段銀電極的組成和結構特征。
1實驗
1.1試劑
試劑:丙酮、硝酸、鹽酸、氫氧化鉀和自制蒸餾水。實驗中所用試劑均為分析純。
1.2粉末微電極的制備
將直徑100μm的鉑絲封入玻璃管內,然后將玻璃管末端依次在4#——6#金相砂紙上打磨,直至磨平并露出鉑絲,再分別用蒸餾水和丙酮將電極末端超聲清洗干凈。將該微電極放入微沸的王水中腐蝕。一段時間后,用顯微鏡觀察電極末端,直至電極末端腐蝕出深度為100μm——200μm的孔洞,將電極洗凈烘干。在玻璃片上鋪一層自制的銀粉,用微電極在粉末上研磨,使孔洞內填滿電極材料,即得銀粉末微電極。
1.3CV測試
粉末微電極做工作電極,鉑電極做輔助電極,Hg/HgO電極做參比,30%KOH溶液(質量比)做電解液,用CHI660C電化學工作站對銀粉末微電極進行循環伏安測試。測試條件:掃描范圍為0.1 V——1.0 V,掃描速度為0.8 mV/s,循環周數為3 w。
1.4EIS測試
粉末微電極做工作電極,鉑電極做輔助電極,Hg/HgO電極做參比,30%KOH溶液(質量比)做電解液,用CHI660C電化學工作站分別對銀粉末微電極不同氧化還原階段的產物進行電化學交流阻抗測試,進而分析電極表面物質組成及結構的變化。測試條件:起始電位為~0.5 V,頻率范圍為10-2Hz——105Hz,振幅為5 mV。
2結果與討論
2.1CV測試結果
掃描速度:0.8 mV/s;循環周期:3 weeks圖1銀粉末微電極的循環伏安曲線
由圖1可見,在掃描范圍內出現了2個氧化峰和2個還原峰。向右掃的氧化過程中,在0.24 V左右出現第一個氧化峰,對應于Ag氧化為Ag2O的過程(A1),峰面積(SA1)約為9.6×10-2C;在0.62 V左右出現第二個氧化峰,對應于Ag2O氧化為AgO的過程(A2),峰面積(SA2)約為1.1×10-2C.向左掃的還原過程中,在0.5V左右出現第一個還原峰,對應于AgO還原為Ag2O的過程(C2),峰面積(SC2)約為5.8×10-3C;在0.2 V左右出現第二個還原峰,對應于Ag2O還原為Ag的過程(C1),峰面積(SC1)約為9.9×10-2C.4個峰的面積關系為:SC1>SA1>SA2>SC2。峰面積的變化可以解釋為:A1過程中生成的Ag2O在A2步驟只有部分被氧化為AgO,因此A2消耗的電量小于A1;A2生成的AgO在C2中也只有部分被還原成Ag2O,因此C2消耗的電量小于A2;在C1中電極上除了Ag2O外,還有未被還原的AgO,因此當C1全部還原成Ag時,就需要比A1更多的電量。上述氧化還原過程中電量的變化情況,將為后面確定電極的成分提供證據。相關反應如下:
2Ag+2OH-=Ag2O+H2O+2e-,(1)
Ag2O+2OH-=2AgO+H2O+2e-.(2)
2.2EIS測試結果
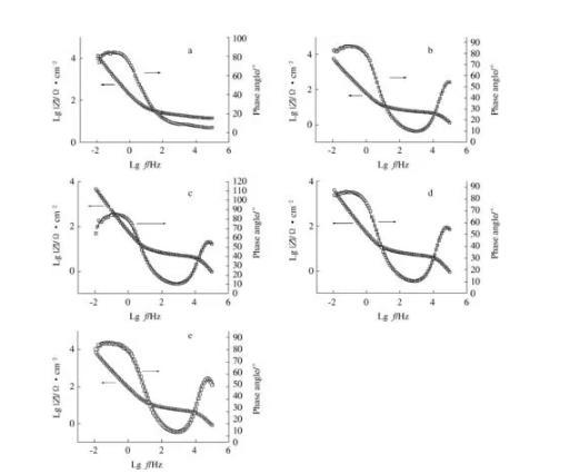
分別對銀粉末微電極在反應前和A1、A2、C2及C1峰出現后進行EIS測試,并找出合適的等效電路對交流阻抗譜進行擬合,得出各電路元件的擬合值,再通過對各元件擬合值的分析,研究電極表面物質的組成及結構的變化。等效電路的描述采用電路描述碼,測試及擬合結果如圖2.方框代表實驗曲線,實線代表擬合曲線。采用所選的等效電路時,擬合曲線與實驗曲線得到了很好的擬合。
表1列出了各Bode圖與反應階段及等效電路的對應關系。由于電極層和界面雙電層的電容并不完全是純電容,所以用常相位角元件(constant phase angle element,CPE)Q代替絕大多數電容C.CPE的阻抗Z=Yo-1(jω)~n,其中包含CPE常數Yo和彌散指數n.Q與電極層的孔隙率和電介質有關,孔隙越多電介質的介電常數越大,則Q越大。由于Ag、Ag2O和AgO的介電常數遠小于水和氫氧化鉀的介電常數,所以電極層的電容主要取決于進入其中的水和氫氧化鉀的多少。n與電極層的表面粗糙度有關,n越小,粗糙度越高;當n=1時,Yo=C,Q就相當于C.電極層電阻與電極的組成和附著量有關。
等效電路的物理模型如圖3.反應前的電極層為一層,反應后的電極層分為內、外兩層。當然,這種分層是相對的,內、外層間并不存在明顯的物理界限,其中Rs為溶液電阻,C、R為一層電極的電容和電阻,C1、R1為電極外層的電容和電阻,C2、R2為電極內層的電容和電阻,Cdl、Rct為界面雙電層電容和電荷傳遞電阻。
反應不同階段等效電路各元件的擬合值如表2,表中只列出了溶液和電極層的電阻和電容。在反應的各階段,溶液的電阻基本不變并且都較小。反應前(a階段),銀粉末電極形成一層表面光滑(n=0.98)、內部致密(電容小、孔隙率低)的電極層。當Ag2O生成后(b階段),電極外層的電容增加(1.07×10-3F·cm-2→2.73×10-3F·cm-2),這可能是由于氧化過程需要OH-參與,其向電極層內部進行滲透,形成離子通道。水和OH-的進入,使電極外層的介電常數增大,電容升高。外層電阻受兩方面因素的影響,一方面Ag2O的生成使電阻增加;另一方面,外層中堿液的進入,使得電阻減小,而后者占了上風,所以外層電阻減小(5.81×104Ω·cm-2→3.32×104Ω·cm-2)。而電極內層的電容和電阻都較小,這是由內層未氧化的銀形成的。b階段形成的銀電極的結構見圖4b。
超始電位:~0.5 V;振幅:5mV;“□”:測量值;“—”:fitting value
表1各Bode圖與反應階段及等效電路的對應關系
圖3等效電路物理模型
Ag2O氧化為AgO后(c階段),電極外層的電容明顯增加(2.73×10-3F·cm-2→3.84×10-2F·cm-2)。田昭武等認為,Ag2O氧化為AgO時,并不是在Ag2O層表面均勻進行的,而是優先在Ag2O層表面電阻小的地方進行,Ag2O被氧化為AgO后,這些地方的電阻進一步減小,反應沿著AgO向電極縱深發展,在垂直于電極方向上形成若干個深洞。而AgO的密度比Ag2O大,深洞中AgO的體積將減小,在洞內出現較大的縫隙,將有更多的電解液進入縫隙內,使得外層電容迅速增加。同樣,由于孔洞的出現,使得外層表面變得粗糙(n=0.31)。AgO的電阻率比Ag2O小,同時由于孔洞內更多溶液的進入,使得外層電阻迅速下降(3.32×104Ω·cm-2→23.48Ω·cm-2)。且外層中只有部分Ag2O被氧化成AgO(見圖1,SA2
表2反應不同階段等效電路各元件的擬合值
圖4反應各階段銀電極的結構示意圖
AgO還原為Ag2O后(d階段),電極外層的電容在減?。?.84×10-2F·cm-2→2.87×10-6F·cm-2),這是因為孔洞內的AgO被還原為Ag2O后,孔洞內的縫隙將被填滿,新生成的Ag2O與原來的Ag2O聯成一個整體,使得外層中的電解液減少,電容減小。同時,孔洞被填平,外層表面粗糙度降低(n=0.80)。AgO還原為Ag2O后,外層電阻理應增大,但實際卻在減小,這說明外層在變薄。且c階段的外層中只有部分靠近溶液的AgO被還原為Ag2O(見圖1,SC2
Ag2O還原成Ag后(e階段),電極外層的電容增加,n減小,電阻增大;說明外層結構疏松,內部有較多的電解液,表面粗糙,外層變厚。電極內層的電容較小,n值大,電阻較大,與反應前(a階段)的數值基本一致;說明內層結構致密,表面光滑,基本恢復至反應前的形貌。且由于AgO的存在,使得該階段消耗的電量大于b階段(見圖1,SC1>SA1)。e階段形成的銀電極的結構見圖4e。
3結論
銀電極的氧化還原過程共包含4個階段,通過對銀電極CV測試結果和EIS各元件擬合值的分析,可將銀電極分為內、外兩層,在不同的反應階段,內、外兩層的組成和結構發生相應的變化。具體內容如下:
(1)Ag氧化為Ag2O后,外層是表面光滑,顆粒間滲透有堿液的Ag2O;內層是少量未反應的Ag.
(2)Ag2O氧化為AgO后,外層由Ag2O和AgO形成的孔洞組成,表面粗糙,結構疏松;內層仍為未反應的Ag.
(3)AgO還原為Ag2O后,外部由一薄層相對光滑、致密的Ag2O組成;內層由表面粗糙、結構疏松的Ag、Ag2O和AgO共同組成。
(4)Ag2O還原為Ag后,外部是一薄層表面粗糙、結構疏松的Ag;內部是一厚層表面光滑、結構致密的Ag.
相關新聞