熱線:021-66110810,66110819
手機:13564362870

熱線:021-66110810,66110819
手機:13564362870
Arctic shelves as platforms for biogeochemical activity: Nitrogen and carbon transformations in the Chukchi Sea, Alaska
北極大陸架是生物地球化學活動的平臺阿拉斯加楚科奇海的氮和碳轉化
來源:Deep-Sea Research Part II 144 (2017) 78–91
論文摘要
摘要指出,大陸架雖然占全球海洋面積不足5%,卻貢獻了不成比例的30%初級生產、80%有機質埋藏和超過50%的海洋反硝化作用。本研究聚焦于阿拉斯加楚科奇海東北部高生物多樣性和生產力的漢納淺灘區域。通過黑暗沉積物柱狀樣培養實驗,測量了沉積物-水界面的氧氣消耗、凈氮氣及營養鹽通量和銨循環速率。結果表明,這些寒冷(-2°C)沉積物中發生了高速率的有機質再礦化。估算的總有機碳再礦化量占楚科奇海夏季輸出生產力的20-57%。凈氮氣釋放是主要的氮通量,表明沉積物通過反硝化作用成為生物有效氮的凈匯。通過反硝化途徑進行的有機碳再礦化占夏季輸出生產力的6-12%,約占漢納淺灘沉積物總氧化有機碳的25%。這些淺水、高產的北極陸架是有機質再礦化的“熱點”區域。
研究目的與假設
本研究旨在探究楚科奇海漢納淺灘沉積物在有機質分解和營養鹽循環中的角色,具體圍繞三個核心問題及相應假設:
有機質再礦化量與驅動因素:楚科奇海沉積物中有多少有機質被再礦化,驅動因素是什么?假設:最高再礦化速率將對應于最高沉積物有機質含量。
固定氮的源/匯角色:沉積物是固定氮的凈源(向上覆水釋放營養鹽以支持初級生產)還是凈匯(通過反硝化等過程將氮從系統中移除)?假設:沉積物是固定氮的凈匯,因為其表層提供了適合反硝化作用的生物地球化學條件(高質量有機質)。
銨循環的平衡與驅動因素:沉積物對銨的吸收和再生之間的平衡如何,驅動因素是什么?假設:最高銨吸收和再生速率將出現在沉積物有機質含量較高的站點。
研究思路
研究遵循了“現場采樣-實驗室培養-多參數測量-綜合分析”的思路:
現場采樣:于2013年夏季在楚科奇海東北部漢納淺灘區域的5個站點(水深41-66米)進行。使用HYPOX采樣器采集了保持原狀沉積物-水界面的柱狀樣,并采集了底層水樣和沉積物樣品用于環境參數分析。
實驗室模擬培養:將沉積物柱在4°C環境艙中進行黑暗培養。培養系統分為兩組:
對照組:通入未加修飾的底層水,用于測量凈溶解氧、氮氣、營養鹽通量。
1?N標記組:通入添加了1?N標記銨鹽的底層水,用于測量銨的循環速率(吸收和再生)。
多參數測量:
使用丹麥Unisense氧微電極測量沉積物剖面的溶解氧濃度,計算擴散性氧吸收。
使用膜進樣質譜測量溶解氧和氮氣濃度。
使用分光光度法測量營養鹽濃度。
使用同位素保留時間漂移高效液相色譜法分析1?N-NH??同位素組成。
分析沉積物總有機碳、總氮、葉綠素a含量。
數據分析:通過通量計算、統計比較和相關分析,將測得的速率與環境因子聯系起來,驗證假設。
測量數據及其研究意義
研究測量了多個方面的數據,其意義和來源如下:
沉積物-水界面凈通量(反映沉積物整體代謝功能)
測量指標:總氧消耗、凈氮氣通量、營養鹽通量。
研究意義:凈通量直接反映了沉積物作為生態系統組分的功能。圖2和 表2的數據顯示,所有站點的沉積物都消耗氧氣并釋放氮氣,同時大部分站點釋放銨鹽和磷酸鹽,但吸收硝酸鹽和亞硝酸鹽。這表明沉積物是有機質再礦化的熱點,并且是固定氮的凈匯(因為氮氣釋放是主導的氮通量),驗證了核心假設。


數據來源:圖2和 表2。
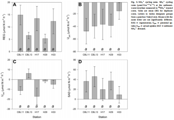
銨循環速率(揭示微觀過程動力學)
測量指標:銨再生速率、潛在吸收速率、實際吸收速率、沉積物銨需求。
研究意義:僅靠凈通量會掩蓋同時發生的相反過程。圖3和 表3的數據揭示,即使在凈通量很小或為零的站點,銨的再生和吸收過程也都在高速進行。這表明沉積物-水界面是一個動態活躍的界面,微生物過程耦合緊密。高的“沉積物銨需求”表明界面微生物群落可能受到銨可用性的限制。


數據來源:圖3和 表3。
沉積物氧微剖面(量化氧化還原條件與擴散過程)
測量指標:氧滲透深度、擴散性氧吸收速率。
研究意義:這項關鍵數據是使用丹麥Unisense氧微電極測量的。表1中的氧滲透深度數據和 圖2a中的擴散性氧吸收速率,提供了關于沉積物表層氧化條件的高分辨率信息。這些數據與總氧消耗結合,可以評估生物擾動(如底棲動物活動)對溶質交換的貢獻(TOU:DOU比值)。例如,高比值表明底棲動物活動顯著增強了沉積物與上覆水之間的交換。

數據來源:表1和 圖2a。
環境參數(提供速率變化的背景解釋)
測量指標:水深、底層水溫鹽、溶解氧、沉積物總有機碳、總氮、葉綠素a等。
研究意義:表1提供了各站點的環境背景。表4的相關性分析表明,總氧消耗與沉積物有機質含量呈正相關,而氮氣通量與水深和有機質含量呈負相關。這為理解不同站點間生物地球化學速率差異的驅動因素提供了關鍵線索。

數據來源:表1和 表4。
丹麥Unisense電極測量數據的研究意義
在研究中,丹麥Unisense氧微電極被用于測量沉積物中的溶解氧微剖面。其研究意義在于提供了高空間分辨率(微米級)的原位氧化還原信息,這對于理解沉積物中的生物地球化學過程至關重要:
精確量化擴散過程:微電極能夠精確測量溶解氧從沉積物-水界面向下擴散的濃度梯度。基于菲克第一定律,研究人員可以計算出僅由分子擴散控制的氧消耗速率,即擴散性氧吸收。這代表了沉積物微生物群落在靜水條件下(無生物擾動或水流動)的基礎呼吸速率。
界定氧化還原分層:通過測量氧濃度隨深度下降至檢測不出的點,可以確定氧滲透深度。這個深度是沉積物中好氧過程和厭氧過程(如反硝化、硫酸鹽還原)的分界線。本研究測得的較淺的氧滲透深度(5.5-7.6毫米)表明漢納淺灘沉積物表層具有很高的微生物活性,氧氣被迅速消耗。
評估生物擾動效應:將微電極測得的擴散性氧吸收與整個沉積物柱培養測得的總氧消耗進行比較,其比值(TOU:DOU)可以作為生物擾動強度的指標。當比值大于1時,表明底棲動物的灌溉和呼吸活動顯著增強了沉積物與上覆水之間的物質交換。本研究中的比值變化反映了不同站點底棲動物群落組成和活動強度的差異。
支持反硝化路徑判斷:淺的氧滲透深度意味著硝化作用(需要氧氣)和反硝化作用(需要缺氧環境)可以在毫米尺度上緊密耦合。硝化作用產生的硝酸鹽可以立即在下方的缺氧區被反硝化,這支持了研究中關于耦合反硝化是主要氮損失途徑的結論。
總之,Unisense微電極的使用將沉積物從“黑箱”模型提升到一個具有清晰化學梯度的微觀世界進行解析。它提供的不僅是耗氧速率的一個組成部分,更是理解沉積物中各種氧化還原過程如何空間組織及其相互關系的鑰匙。
研究結論
活躍的有機質再礦化熱點:盡管環境寒冷,漢納淺灘沉積物表現出高強度的有機質再礦化活性。估算的沉積物碳再礦化量平均占夏季輸出生產力的34%(范圍20-57%),證實了該區域存在強烈的底棲-水柱耦合。
明確的固定氮凈匯:凈氮氣釋放是最大的氮通量,表明沉積物主要通過反硝化作用作為生物有效氮的凈匯。反硝化效率很高(69-86%)。沉積物雖然向上覆水釋放銨鹽,但由于對硝酸鹽的吸收量更大,整體上表現為溶解無機氮的凈消耗者。
動態的銨循環:銨的再生和吸收過程在沉積物-水界面同時高速進行,表明該界面是一個高度動態的微環境。沉積物表現出對銨的“需求”,說明銨可能是某些界面微生物過程的限制因子。
氣候變化下的重要性:該研究強調,像漢納淺灘這樣的淺水、高生產力北極陸架是碳循環和氮去除的“熱點”。在氣候變暖導致北極冰蓋減少、生長期延長的背景下,這些過程可能變得更加重要,需要在全球生物地球化學模型中予以充分考慮。