熱線:021-66110810,66110819
手機:13564362870

熱線:021-66110810,66110819
手機:13564362870
Variable thermal stress tolerance of the reef-associated symbiont-bearing foraminifera Amphistegina linked to differences in symbiont type
與共生菌種類不同的珊瑚礁共生腔口蟲類生物的熱應力耐受能力存在差異,這與共生菌的類型有關
來源:Coral Reefs (2018) 37:811–824
論文總結
本文研究了礁石相關共生體攜帶有孔蟲(Amphistegina)的熱應力耐受性變異,重點關注共生體類型差異的影響。以下從摘要、研究目的、研究思路、測量數據及意義、結論等方面進行總結,并詳細解讀丹麥Unisense電極的應用意義。
一、論文摘要
本研究通過實驗室實驗比較了兩種大型底棲有孔蟲(LBFs)——印度-太平洋物種Amphistegina lessonii和大西洋物種Amphistegina gibbosa(從5m和18m深度采集)——對熱應力的響應。實驗設置了四種熱處理:控制(25.5°C)、單次應力(32°C 3天)、間歇性應力(周期性32°C峰值)和慢性應力(32°C恒定),持續四周。測量了生長、呼吸、死亡率、運動性等全生物參數,以及顏色、光合作用和葉綠素a含量等共生體參數,并通過遺傳指紋鑒定共生體類型。結果表明,A. gibbosa不同深度組響應相似,淺水樣本耐受性略高;但種間差異顯著,A. lessonii對間歇性應力耐受性更強,慢性應力對運動性、生長和光合性能影響較小。這些差異與A. lessonii共生體多樣性更高相關,強調共生體類型在熱耐受性中的關鍵作用。
二、研究目的
本研究旨在:
比較種內和種間熱應力耐受性:評估A. gibbosa從不同深度(5m vs. 18m)的響應差異,以及A. lessonii與A. gibbosa的種間差異。
確定共生體類型的作用:通過遺傳分析鑒定共生體硅藻類型,探討其與熱耐受性的關聯。
評估適應與馴化機制:理解局部環境歷史(如深度相關溫度波動)是否導致 acclimatization,或種間差異是否主導響應。
模擬現實熱應力場景:通過單次、間歇性和慢性應力模擬自然溫度波動,預測氣候變化下的適應性。
背景基于LBFs在礁石生態系統中的重要性(貢獻碳酸鹽生產、作為生物指示劑),以及它們對熱誘導白化的敏感性,類似珊瑚但研究較少。
三、研究思路
研究采用對照實驗與多參數分析相結合的方法:
樣本采集:A. lessonii從坦桑尼亞Zanzibar 5m深度采集;A. gibbosa從美國佛羅里達Keys的5m和18m深度采集。樣本在實驗室acclimatized(25.5°C,低光)3周。
實驗設計:12個獨立水族箱,設置四種熱處理(各3重復):控制(25.5°C)、單次應力(32°C 3天)、間歇性應力(每9天一次32°C峰值,共4事件)、慢性應力(32°C恒定)。實驗持續30天。
測量參數:
全生物響應:生長(通過圖像分析表面面積)、呼吸和光合作用(氧氣微傳感器)、死亡率(空殼比例)、運動性(位移測量)。
共生體響應:顏色(CIE Lab*空間)、葉綠素a濃度(乙醇提取分光光度法)、凈/總光合作用(氧生產)。
遺傳分析:18S rDNA測序鑒定共生體硅藻類型。
統計分析:使用ANOVA、t-test、PCA和判別分析比較處理間差異,顯著性水平p<0.05。
四、測量數據、來源及研究意義
研究測量了多維度數據,其意義及來源如下(數據均標注自原文圖/表):
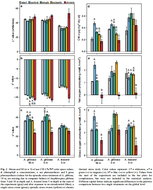
顏色值(CIE Lab)(數據來自Fig. 2a-c*):

數據:L(亮度)、a(綠-品紅)、b(藍-黃)值變化,例如慢性應力下A. gibbosa的a和b*值顯著下降(變綠、變黃),A. lessonii變化較小。
研究意義:顏色變化直接指示共生體白化程度;A. lessonii的較小變化表明更高熱耐受性,可能與共生體多樣性相關。
葉綠素a濃度(數據來自Fig. 2d):
數據:慢性應力下A. gibbosa葉綠素a濃度從>0.6 μg/mg降至<0.3 μg/mg,A. lessonii保持較高(>0.6 μg/mg)。
研究意義:葉綠素a下降反映光合色素損失,表明白化;A. lessonii的穩定性暗示共生體更耐熱。
凈光合作用和總光合作用(數據來自Fig. 2e-f):
數據:慢性應力下A. gibbosa凈光合作用變為負值(氧消耗),A. lessonii僅減少30%;總光合作用在A. lessonii慢性應力下減少30%。
研究意義:光合作用抑制表明熱應力損害共生體功能;A. lessonii的較高保留顯示共生體效率更好。
呼吸速率(數據來自Fig. 3a):

數據:慢性應力下A. gibbosa呼吸速率增加 up to 4倍,A. lessonii減少46%。
研究意義:呼吸變化反映代謝成本;A. gibbosa的增加表明應力導致能量需求增加,A. lessonii的減少可能表示代謝下調以適應應力。
死亡率(數據來自Fig. 3b):
數據:A. gibbosa在控制和單次應力下死亡率>50%,A. lessonii在所有處理中死亡率低(近0%)。
研究意義:高死亡率可能指示繁殖事件或應力敏感;A. lessonii的低死亡率證實其更強韌性。
生長率(數據來自Fig. 3c):
數據:慢性應力下所有組生長減少>50%,但A. lessonii初始下降后穩定,A. gibbosa持續下降。
研究意義:生長抑制影響種群動態;A. lessonii的較快穩定表明更好恢復力。
運動性(數據來自Fig. 3d):
數據:慢性應力下運動性減少,但A. lessonii減少較小(僅略降),A. gibbosa顯著減少。
研究意義:運動性關聯覓食和逃避能力;A. lessonii的保持有助于生存。
共生體遺傳多樣性(數據來自Fig. 5):

數據:A. gibbosa僅有單一硅藻共生體序列,A. lessonii有6種haplotype(2 lineages)。
研究意義:共生體多樣性可能提供功能冗余和適應性優勢,解釋A. lessonii的更高熱耐受性。
其他數據(如PCA分析來自Fig. 4)支持種間分離,但上述是關鍵指標。

五、研究結論
種內差異有限:A. gibbosa從5m和18m深度的響應相似,淺水樣本僅略更耐受熱峰,表明深度相關 acclimatization 影響較小。
種間差異顯著:A. lessonii 對所有熱應力場景(尤其間歇性和慢性)更耐受,表現更小的共生體白化、光合抑制、生長減少和運動性損失。
共生體多樣性關鍵:A. lessonii 的更高共生體多樣性(多 haplotype)可能與熱耐受性相關,提供生理靈活性;A. gibbosa 的單一共生體限制適應性。
生態意義:共生體類型是LBFs熱耐受性的主要驅動因子,影響它們在氣候變化下的分布和存活;研究強調在評估礁石生物響應時需考慮共生體組成。
六、詳細解讀使用丹麥Unisense電極測量出來的數據有什么研究意義
丹麥Unisense電極(OX-MR微傳感器系統)在本研究中用于測量呼吸和光合作用速率,具體應用于方法部分的"Experimental design and analysis"。其研究意義如下:
高精度代謝監測:
技術描述:Unisense電極允許在微小呼吸室(~1mL)中實時測量氧氣濃度變化(精度±0.1%飽和度),黑暗階段測呼吸(氧消耗),光照階段測凈光合作用(氧生產),計算總光合作用。傳感器直徑400-600μm,適合小型有孔蟲。
研究意義:提供直接、定量生理數據,準確捕獲熱應力對代謝的細微影響(如呼吸增加或減少),避免間接推論的誤差。
揭示種間代謝策略差異:
數據關聯:測量顯示A. gibbosa在慢性應力下呼吸速率增加4倍(Fig. 3a),表明應激代謝成本升高;相反,A. lessonii呼吸減少46%,提示代謝下調以節能。
研究意義:這種差異反映物種特有適應機制——A. lessonii可能通過代謝調節減少能量消耗,延長應激存活,而A. gibbosa的代謝激增可能加速資源耗竭。Unisense數據直接支持結論:種間熱耐受性差異部分源于代謝響應策略。
量化共生體性能:
光合作用測量:電極數據用于計算凈/總光合作用(Fig. 2e-f),顯示慢性應力下A. gibbosa光合作用崩潰(負值),A. lessonii僅部分減少。
研究意義:精確量化共生體光合效率損傷,直接鏈接到白化程度(葉綠素a下降);Unisense的高靈敏度使檢測短期應力效應(如單次事件)成為可能,增強實驗時間分辨率。
支持機制闡釋:
整合分析:呼吸和光合數據與其它參數(如生長、顏色)結合PCA分析(Fig. 4),顯示代謝響應是種間分離的關鍵因子。
研究意義:Unisense電極提供可靠生理指標,幫助建立熱應力與生理性能的因果關系,證實共生體多樣性通過影響代謝效率增強耐受性。
方法與模型價值:
技術優勢:Unisense系統提供連續、非侵入測量,避免傳統Winkler滴定的離散采樣誤差;微尺度設計最小化樣本擾動,適合脆弱有孔蟲。
研究意義:數據質量支持 robust 統計結論,為未來研究提供范式;此類高精度測量是解析氣候變化下生物生理響應的必備工具。
總之,Unisense電極不僅是工具,更是解析代謝機制的核心:其數據揭示了種間熱耐受性差異的生理基礎,強調代謝調節在適應性中的重要性,為預測LBFs在變暖海洋中的命運提供關鍵見解。