熱線:021-66110810,66110819
手機:13564362870

熱線:021-66110810,66110819
手機:13564362870
Mechanisms driving phosphorus release during algal blooms based on hourly changes in iron and phosphorus concentrations in sediments
基于沉積物中鐵和磷濃度每小時變化的藻華期間磷釋放機制
來源:Water Research 133 (2018) 153-164
論文總結
摘要核心內容
通過高頻采樣(3小時間隔)研究有害藻華(HABs)期間沉積物中磷釋放的機制。關鍵發現包括:
藻華動態:藻華在孵化后15天達到高峰,之后逐漸崩潰至70天;孔隙水可溶性Fe(II)和可溶性活性磷(SRP)濃度在整個孵化期增加,藻華期夜間可溶性Fe(II)最大增加214%,崩潰期SRP最大增加387%。
晝夜波動:可溶性Fe(II)和SRP濃度呈現每小時波動,有兩個明顯峰值(21:00和06:00或03:00),表明Fe-P耦合機制主導藻華期P釋放。
機制轉換:崩潰期可溶性Fe(II)被硫化物(S(-II))抑制,SRP與Fe解耦,波動小(<11% RSD),藻類分解成為P釋放的主要來源。
通量變化:沉積物-水界面(SWI)的Fe和P擴散通量與濃度變化對應,藻華處理中通量增加,夜間更高。
摘要強調,藻華通過改變沉積物微環境(pH、DO)驅動P釋放,機制從Fe-P耦合轉向藻類分解,高頻數據提供了對內部磷負荷的新見解。
研究目的
本研究旨在:
解析機制:揭示藻華不同階段(生長、崩潰)沉積物中磷釋放的驅動機制,特別是Fe-P耦合的作用。
高頻監測:通過每小時尺度測量可溶性Fe(II)和SRP濃度,捕捉晝夜波動和階段依賴變化。
評估環境影響:量化pH、DO等因子如何影響Fe和P的遷移轉化,為湖泊管理提供理論依據。
研究思路
研究采用微宇宙實驗與高頻采樣相結合的策略:
實驗設計:從太湖梅梁灣采集沉積物核心和湖水,在溫室中孵化70天,設置藻華處理(添加藻類)和對照處理(過濾湖水)。
采樣技術:使用Rhizon采樣器以3小時間隔采集沉積物孔隙水(0至-20 mm),測量SRP和可溶性Fe(II)濃度(Fig. 1E);使用丹麥Unisense微電極(OX-100和pH-500)測量SWI的DO和pH剖面(Fig. 1C);使用DGT(擴散梯度薄膜技術)測量P、Fe和S(-II)的擴散通量(Fig. 1A和B)。

時間尺度:在關鍵天(1、5、15、20、44、70天)進行高頻采樣,覆蓋藻華生長和崩潰階段。
分析:通過相關統計(如Pearson相關)和趨勢分析,評估Fe-P耦合關系和環境因子影響。
測量數據、來源及其研究意義
本研究測量了多維度數據,其具體來源和科學意義如下:
1. 藻華動態數據(來自 Fig. 2)

數據內容:Chla濃度在藻華處理中從第1天27.6 μg L?1增至第15天154.3 μg L?1,之后下降至第70天14.3 μg L?1;CDOM組分(如色氨酸類熒光團)在崩潰期增加。
研究意義:直接量化藻華發展過程,Chla峰值標志藻華高峰,CDOM增加表明藻類分解,為P釋放提供背景。數據證實藻華階段影響沉積物化學。
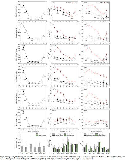
2. 水柱環境參數數據(來自 Fig. 3)

數據內容:光強、DO和pH呈現晝夜波動,DO白天高(峰值13.3 mg L?1)、夜間低(最低1.5 mg L?1),pH白天高(峰值10.53)、夜間低。
研究意義:顯示藻類光合和呼吸作用導致水化學晝夜變化,驅動沉積物氧化還原狀態變化。DO和pH波動是Fe和P行為的關鍵驅動因子。
3. 沉積物pH和DO剖面數據(來自 Fig. 4和 Table 1)


數據內容:藻華處理中,表層沉積物(0至-2.5 mm)pH白天高(9.26)、夜間低(7.36),DO白天高(6.74 mg L?1)、夜間低(0.84 mg L?1);受影響深度達-20 mm(pH)和-3.5 mm(DO)。
研究意義:Unisense電極數據揭示沉積物微環境對水柱變化的響應,白天堿化和氧化促進P解吸,夜間酸化和還原促進Fe還原,直接影響Fe-P耦合。
4. 孔隙水SRP和可溶性Fe(II)每小時變化數據(來自 Fig. 5)

數據內容:可溶性Fe(II)和SRP濃度呈現雙峰模式(峰值21:00和06:00),藻華期(第5、15天)兩者正相關(r > 0.9, p < 0.01),崩潰期(第20、44天)解耦。
研究意義:高頻數據捕捉Fe-P耦合的晝夜節奏,證實藻華期Fe還原驅動P釋放,崩潰期機制轉換。峰值時間暗示微生物或環境節律的影響。
5. SRP和可溶性Fe(II)平均濃度垂直分布數據(來自 Fig. 6和 Table 3)


數據內容:藻華處理中SRP和可溶性Fe(II)濃度增加,第44天SRP最大增加387%(夜間),第15天可溶性Fe(II)最大增加214%(夜間);夜間濃度普遍高于白天。
研究意義:量化藻華對沉積物P和Fe的增強釋放,夜間釋放更顯著, due to還原條件。數據支持內部磷負荷在藻華期的貢獻。
6. DGT-labile S(-II)分布數據(來自 Fig. 7)

數據內容:崩潰期(第44天)夜間S(-II)通量增加,分布全剖面,藻華處理中通量高于對照。
研究意義:S(-II)增加抑制可溶性Fe(II)(形成FeS),解釋崩潰期Fe-P解耦,凸顯硫循環在P釋放中的作用。
7. SWI擴散通量數據(來自 Fig. 8)

數據內容:藻華處理中P、Fe和S(-II)通量增加,第44天通量最高,夜間通量一般高于白天。
研究意義:通量數據驗證濃度變化,藻華增強沉積物-水交換,夜間過程主導,強調藻華對內部負荷的放大效應。
主要結論
機制演變:藻華期Fe-P耦合主導P釋放, due to Fe還原溶解;崩潰期藻類分解主導P釋放,S(-II)增加抑制Fe(II),導致解耦。
晝夜驅動:環境因子(DO、pH)晝夜波動驅動Fe和P的每日雙峰釋放模式,藻華放大這種波動。
管理啟示:控制藻華可減少內部磷負荷,但崩潰期藻類分解仍導致P釋放,需綜合管理(如藻類收割或沉積物覆蓋)。
詳細解讀:使用丹麥Unisense電極測量數據的研究意義
在本研究中,丹麥Unisense公司的微電極系統(OX-100 for DO和pH-500 for pH)被用于高分辨率測量沉積物-水界面的DO和pH剖面(方法節),其數據是解析環境驅動機制的核心依據。具體研究意義如下:
測量數據描述
Unisense電極提供:
DO和pH剖面:以毫米級分辨率測量,顯示藻華處理中表層沉積物DO和pH白天高(光合作用)、夜間低(呼吸作用),受影響深度達-20 mm(pH)和-3.5 mm(DO)(Fig. 4)。
晝夜動態:數據捕獲每日波動,如pH從白天9.26降至夜間7.36,DO從6.74 mg L?1降至0.84 mg L?1(Table 1)。
研究意義解讀
量化微環境變化:Unisense數據直接證實藻華導致沉積物氧化還原狀態每日波動,白天氧化和堿性條件促進P解吸(OH?競爭),夜間還原和酸性條件促進Fe(III)還原,釋放Fe(II)和P。這種波動是Fe-P耦合機制的基礎,解釋為何P釋放有雙峰模式(Fig. 5)。
揭示機制轉換:在崩潰期,Unisense數據顯示DO和pH波動減弱(第70天類似對照),但S(-II)增加(Fig. 7),結合電極數據,證實環境從Fe還原轉向硫酸鹽還原,導致Fe-P解耦。電極數據提供了關鍵的環境背景,支持機制演變。
技術優勢:Unisense電極的高空間分辨率(毫米級)和實時能力避免采樣擾動,精準捕捉界面梯度。沒有這些數據,研究無法確認沉積物微環境對水柱變化的響應程度,或建立DO/pH與Fe/P釋放的因果關系。例如,數據顯示pH影響深度比DO更深(Fig. 4),解釋為何P釋放更廣泛。
生態啟示:電極數據強調藻華通過改變沉積物化學放大內部磷負荷,尤其夜間釋放顯著。這提示湖泊修復需關注晝夜循環(如曝氣時機),并驗證了模型參數(如氧化層深度)。Unisense技術的應用提升了研究的準確性和管理適用性。
總之,Unisense電極數據不僅是描述性指標,更是機制解析的關鍵——它證實藻華通過晝夜環境波動驅動Fe-P耦合和解耦,為內部磷負荷控制提供了時空動態見解。