熱線:021-66110810,66110819
手機:13564362870

熱線:021-66110810,66110819
手機:13564362870
Mitigating agricultural nitrogen load with constructed ponds in northern latitudes: A field study on sedimental denitrification rates
在北緯地區建造池塘減輕農業氮素負荷沉積反硝化速率的實地研究
來源:Agriculture, Ecosystems and Environment(2018年,卷261,頁71-79)
論文概述
研究了芬蘭北方農業流域中構建池塘的沉積物反硝化作用對氮負荷的削減效果。通過現場實驗,結合15N同位素配對技術(IPT)和高分辨率環境監測,論文揭示了反硝化速率的日變化和季節性規律,并評估了光照、溫度、氧氣等環境因子的調控作用。研究強調,在寒冷氣候下,構建池塘的氮去除效率存在顯著時空變異,需優化設計以提升生態功能。
1. 摘要核心內容
摘要指出,農業池塘和濕地在溫暖氣候下能有效減少氮負荷,但寒冷氣候的微生物過程溫度依賴性使其適用性存疑。本研究通過全年現場監測,發現:
反硝化速率變異大:日變化范圍12–314 μmol N m?2 h?1,季節性范圍0–12409 μmol N m?2 d?1。
調控機制:日變化受光照和氧氣主導(光照抑制反硝化),季節性變化受溫度、氧氣和濁度共同控制。
低估風險:真實氮去除率比白天測量值高30–35%,忽略日變化會低估池塘能力。
實踐意義:北方農業池塘在夏秋季反硝化高效,冬春季作用微弱,需根據濕地-集水區比例優化設計。
2. 研究目的
本研究旨在:
量化反硝化效率:評估北方構建池塘在全年周期中的反硝化速率,確定氮去除潛力。
解析環境驅動因子:揭示溫度、光照、氧氣濃度等對反硝化過程的調控機制。
驗證方法適用性:通過現場IPT測量,克服實驗室模擬的局限,提供真實環境數據。
指導管理實踐:為寒冷地區農業氮負荷管理提供科學依據,優化構建濕地設計。
3. 研究思路
研究采用現場監測與多參數聯動分析的策略:
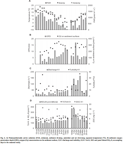
站點選擇:在芬蘭南部農業流域(Koiransuolenoja溪流)的構建池塘(圖1)進行實驗,該池塘接收高氮負荷(NOx-N平均194 μmol L?1)。

時間框架:覆蓋2014–2015年全年,包括24次季節性測量(夏季至春季)和2次晝夜連續監測(8月)。
核心測量:
反硝化速率:使用15N-IPT技術,在沉積物巖心中注入K15NO3,孵化3小時后分析N2同位素(方法2.3節)。
環境參數:同步測量沉積物溫度、氧氣濃度、氧氣滲透深度(OPD)、擴散氧攝?。―OU)、光照(PAR)、濁度、營養鹽(NOx-N, NH4+-N, DOC)等(圖2)。

數據分析:使用廣義線性模型(GLM)和結構方程模型(SEM)解析反硝化與環境因子的關系(圖8)。

4. 測量數據、來源及其研究意義
本研究測量了多維度數據,其具體來源和科學意義如下:
4.1 反硝化速率數據(來自 Fig. 4, Fig. 5, Fig. 6 和 Table 3)




數據內容:
日變化:黑暗條件下反硝化速率(180 μmol N m?2 h?1)顯著高于光照條件(67 μmol N m?2 h?1)(Fig. 4A-B)。
季節性變化:夏季最高(12409 μmol N m?2 d?1),冬季接近零(Table 3)。
研究意義:
揭示光氧抑制:光照通過促進藻類產氧增加OPD,抑制反硝化(Fig. 4C-F),證實晝夜循環對氮去除的調控。
溫度依賴性:反硝化在沉積物溫度>10°C時活躍(Fig. 6),說明北方氣候下夏季為關鍵去除期。
4.2 氧氣動力學數據(來自 Fig. 2B, Fig. 4C-D, Table 1)

數據內容:OPD范圍0.5–11 mm,DOU范圍2–5 mmol O? m?2 d?1;光照時沉積物表面O?濃度升高(Table 1)。
研究意義:
氧化還原邊界控制:OPD與反硝化負相關(r = -0.91),氧氣滲透深度增加會延遲NO??擴散至反硝化區。
微生物棲息地界定:高分辨率OPD數據幫助定位反硝化活躍的缺氧層。
4.3 環境驅動因子數據(來自 Fig. 2, Table 3)
數據內容:溫度(空氣/沉積物)、PAR、濁度、NOx-N濃度、DOC等季節性變化(如夏季PAR最高592 μmol m?2 s?1)。
研究意義:
多因子耦合:SEM模型(Fig. 8)顯示溫度通過影響O?間接調控反硝化(路徑系數0.62),濁度通過降低光照增強反硝化。
碳氮耦合:高DOC(10–11 mg C L?1)支持異養反硝化,證實有機碳可用性為關鍵限制因子。
4.4 營養鹽通量數據(來自 Fig. 2D, Table 3)
數據內容:NOx-N濃度夏季131 μmol L?1,春季256 μmol L?1;Dw(水柱NO??反硝化)占比66–88%。
研究意義:
氮源辨識:Dw主導表明外源NO??輸入為反硝化主要底物,而非沉積物硝化(Dn)。
負荷管理啟示:高氮輸入期(春季)需延長水力停留時間以提升去除率。
5. 主要結論
論文得出以下核心結論:
日變化不可忽略:黑暗反硝化速率比光照高2.7倍,僅白天測量會低估年去除量30–35%(Fig. 5)。
季節性效率差異:夏秋季反硝化高效(溫度>10°C),冬春季幾乎停滯,北方池塘氮去除呈“夏峰冬谷”模式。
環境調控層級:光照和氧氣為日變化主控因子;溫度、濁度和氧氣為季節性主控因子(SEM解釋40%變異,Fig. 8)。
設計優化建議:濕地-集水區比例需達2–6%方可有效去除氮(尤其冬春季),短停留時間池塘作用有限。
6. 詳細解讀:使用丹麥Unisense電極測量數據的研究意義
在本研究中,丹麥Unisense公司的微電極系統(如OX100傳感器)被用于沉積物氧氣剖面的高分辨率測量(方法2.2節),其數據是反硝化速率計算和環境機制解析的核心基礎。具體研究意義如下:
測量數據描述
Unisense電極(Clark型,尖端直徑100 μm)以毫米級分辨率垂直掃描沉積物-水界面,實時監測O?濃度梯度。數據用于計算:
氧氣滲透深度(OPD):O?濃度<1 μmol L?1的深度邊界(Fig. 2B)。
擴散氧攝?。―OU):基于Fick定律從O?剖面斜率推導(方法2.2)。
表面O?濃度:直接反映光合作用產氧效應(Fig. 4C-D)。
研究意義解讀
精準量化氧化還原梯度:Unisense電極提供的OPD數據(如夏季5 mm vs. 冬季11 mm)直接界定了反硝化的“活性區”。OPD變淺時(如黑暗或高濁度),NO??擴散路徑縮短,反硝化增強(Fig. 4E-F),證實了氧氣邊界層對微生物過程的物理約束。
支持反硝化機制解析:通過同步測量O?和反硝化,研究發現光照下O?濃度升高(298 μmol L?1)伴隨反硝化降低(Table 1),直接驗證了氧氣抑制假說。電極數據使團隊能區分Dw(水柱NO??反硝化)和Dn(耦合硝化-反硝化)的貢獻比例(Dw占66%)。
增強模型可靠性:OPD和DOU作為關鍵輸入參數,用于GLM和SEM建模(如Fig. 8)。例如,DOU與反硝化負相關(p<0.05),提升了環境驅動因子分析的準確性,避免了過去研究因氧氣數據粗糙導致的機制誤判。
揭示微環境動態:電極捕捉到晝夜O?波動(如光照期O?峰值),闡明了藻類光合作用對沉積物化學的實時影響。這種高時間分辨率數據是傳統采樣無法實現的,凸顯了微電極在捕捉生物地球化學瞬變中的優勢。
技術方法學貢獻:Unisense電極的現場適用性(抗干擾、快速響應)使全年連續監測成為可能,克服了實驗室孵化的“穩態偏差”。例如,冬季低溫下仍檢測到OPD變化(Fig. 2B),證實了反硝化在接近冰點的潛在活性。
生態管理啟示:基于電極數據,研究建議在池塘設計中考慮光照管理(如植被遮蔭)以降低OPD,提升反硝化。電極提供的定量O?梯度為優化構建濕地提供了工程參數。
總之,Unisense微電極在本研究中充當了“沉積物呼吸監測器”的角色。其高精度氧氣剖面不僅是反硝化計算的基礎數據源,更是解析環境機制、驗證理論假設、指導管理決策的關鍵工具。沒有這些數據,研究無法準確量化氧氣抑制效應或預測季節性效率,強調了微電極在水生生物地球化學研究中的不可替代性。