熱線:021-66110810,66110819
手機:13564362870

熱線:021-66110810,66110819
手機:13564362870
Effects of iron(III) reduction on organic carbon decomposition in two paddy soils under flooding conditions
淹水條件下兩種水稻土中鐵(III)還原對有機碳分解的影響
來源:Environmental Science and Pollution Research, Volume 26, 2019, Pages 12481-12490
《環境科學與污染研究》,第26卷,2019年,12481-12490頁
摘要:
摘要指出,鐵氧化和還原在淹水和干燥條件下對水稻土有機碳轉化有重要影響。本研究選擇鐵含量顯著不同的兩種水稻土樣本(湖南岳陽和海南??冢?,在25天培養中觀察Fe(II)和Fe(III)含量及鐵形態變化對土壤溶解有機碳(DOC)水平和CH4、CO2排放的影響。淹水后Fe(II)含量與活性Fe比率增加,岳陽土壤活性Fe比例高于海口土壤。岳陽土壤5天內92% Fe(III)轉化為Fe(II),培養結束時幾乎全部轉化;??谕寥繤e(II)僅占活性Fe的59%。岳陽土壤2.2 g kg-1有機碳轉化為CO2和CH4,DOC增至初始值410%;??谕寥?.7 g kg-1有機碳轉化,DOC增至245%。有機碳分解與鐵還原密切相關,鐵還原顯著影響有機碳轉化速率。
研究目的:
研究目的是探究淹水條件下鐵還原對水稻土有機碳分解的影響,特別是比較不同鐵含量土壤中鐵還原過程與有機碳轉化和溫室氣體排放的關系,以揭示鐵還原在碳循環中的作用機制。
研究思路:
研究思路包括選擇岳陽和海口兩種水稻土,進行預培養后,在淹水條件下培養25天,定期測量氣體排放(CH4和CO2)、DOC、Fe(II)、Fe(III)、礦物氮等參數。使用破壞性采樣分析土壤化學性質,并使用Unisense電極測量溶解氧(DO)。通過統計分析和主成分分析(PCA)處理數據,評估鐵還原與有機碳分解的關聯。
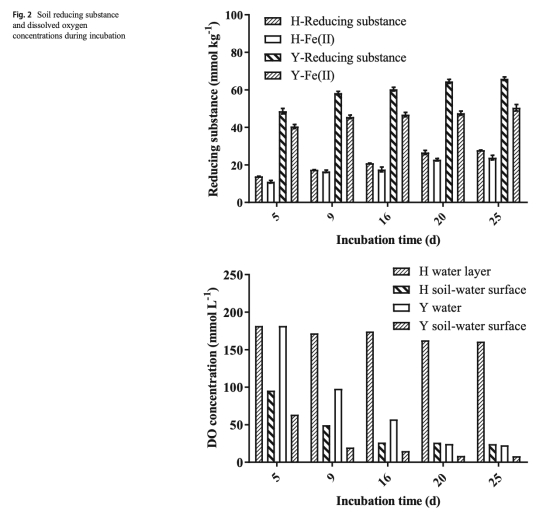
測量的數據及研究意義:
1. Fe(II)和Fe(III)含量變化:來自Fig. 1,數據顯示岳陽土壤鐵還原更徹底,Fe(II)比例高,研究意義在于表明鐵還原程度與土壤類型相關,影響有機碳分解速率。

2. 溶解氧(DO)濃度:來自Fig. 2,使用Unisense電極測量,數據顯示岳陽土壤DO較低,研究意義在于DO反映氧化還原狀態,低DO促進厭氧條件,增強鐵還原和微生物活動。

3. DOC濃度變化:來自Fig. 3,數據顯示岳陽土壤DOC增加更顯著,研究意義在于DOC增加表明有機碳溶解,與鐵還原過程耦合,促進碳分解。

4. 銨和硝酸鹽濃度:來自Fig. 4,數據顯示氮礦化與碳分解同步,研究意義在于氮轉化反映有機質礦化,受鐵還原影響。

5. CH4和CO2排放:來自Fig. 5,數據顯示岳陽土壤氣體排放更高,研究意義在于直接量化有機碳分解為溫室氣體,鐵還原刺激分解過程。

6. 還原物質含量:來自文本描述,數據顯示Fe(II)是主要還原物質,研究意義在于證實鐵還原主導還原環境,驅動碳轉化。
結論:
1. 鐵還原促進淹水土壤有機碳分解,岳陽土壤鐵還原更徹底,有機碳分解更多。
2. Fe(II)含量與DOC、CO2排放正相關,表明鐵還原刺激有機碳礦化。
3. 鐵還原是淹水土壤碳循環的關鍵過程,受土壤鐵含量和氧化還原條件影響。
使用丹麥Unisense電極測量數據的研究意義:
使用丹麥Unisense電極(Ox100微電極)測量溶解氧(DO),數據來自Fig. 2。研究意義在于提供高精度、實時的氧化還原狀態數據,直接捕捉淹水土壤中的氧動態。DO測量顯示岳陽土壤DO較低,表明厭氧條件更強,從而促進鐵還原菌活動和有機碳分解。這種測量幫助量化環境條件對微生物過程的影響,證實低DO是鐵還原和碳分解的驅動因素,增強了實驗的可靠性和機制理解。